Top 50 Popular Supplier
1 100,000D_อินเวอร์เตอร์ 178,015
2 100,000D_มิเตอร์วัดไฟฟ้า 175,150
3 100,000D_อุปกรณ์ไฟฟ้าและอิเลคทรอนิกส์ 174,492
4 100,000D_เครื่องมือช่าง 174,379
5 100,000D_เอซีมอเตอร์ 171,776
6 100,000D_ดีซีมอเตอร์ 170,888
7 100,000D_อุปกรณ์แคมป์ปิ้ง 169,785
8 100,000D_เครื่องดื่มและสมุนไพร 169,186
9 เคอีบี (KEB ) ประเทศไทย 162,891
10 100,000D_เครื่องใช้ไฟฟ้าครัวเรือน 159,628
11 100,000D_ของใช้จำเป็นสำหรับผู้หญิง 159,565
12 100,000D_ขายของเล่นเด็ก 158,767
13 E&L INTERNATIONAL CO., LTD. 69,310
14 T.N. METAL WORKS Co., Ltd. 64,036
15 ฟิลิปส์อิเล็กทรอนิกส์ (ประเทศไทย) จำกัด 52,118
16 บ.ไทนามิคส์ จำกัด 44,838
17 Industrial Provision co., ltd 40,953
18 ลาดกระบัง ทูลส์ แอนด์ ดาย จำกัด 39,642
19 Infinity Engineering System Co.,Ltd 37,578
20 สยาม เอลมาเทค (siam elmatech) 35,873
21 ไทยเทคนิค อีเล็คตริค จำกัด 34,757
22 ฟอร์จูน เมคคานิค แอนด์ ซัพพลาย 33,083
23 เอเชียเทค พาวเวอร์คอนโทรล จำกัด 32,536
24 บริษัท เวิลด์ ไฮดรอลิคส์ จำกัด 32,362
25 โปรไดร์ฟ ซิสเต็ม จำกัด 28,749
26 ซี.เค.แอล.โพลีเทค เอ็นจิเนียริ่ง 27,758
27 P.D.S. Automation co.,ltd 24,156
28 AVERA CO., LTD. 23,845
29 เลิศบุศย์ 22,838
30 ห้างหุ้นส่วนสามัญ เอ-รีไซเคิล กรุ๊ป 21,621
31 เทคนิคอล พรีซิชั่น แมชชีนนิ่ง 21,535
32 Electronics Source Co.,Ltd. 21,278
33 แมชชีนเทค 21,103
34 มากิโน (ประเทศไทย) 20,408
35 อีดีเอ อินเตอร์เนชั่นเนล จำกัด 20,289
36 ทรอนิคส์เซิร์ฟ จำกัด 20,120
37 Pro-face South-East Asia Pacific Co., Ltd. 19,728
38 SAMWHA THAILAND 19,659
39 วอยก้า จำกัด 19,454
40 CHEMTEC AUTOMATION CO.,LTD. 18,863
41 IWASHITA INSTRUMENTS (THAILAND) LTD. 18,644
42 I-Mechanics Co.,Ltd. 18,575
43 เอส.เอส.บี สยาม จำกัด 18,548
44 ดีไซน์ โธร แมนูแฟคเจอริ่ง 18,490
45 ศรีทองเนมเพลท จำกัด 18,385
46 Intelligent Mechantronics System (Thailand) 18,362
47 Systems integrator 17,932
48 เอ็นเทค แอสโซซิเอท จำกัด 17,900
49 Advanced Technology Equipment 17,724
50 ดาต้า เอ็นทรี่ กรุ๊ป จำกัด 17,685
25/09/2553 14:54 น. , อ่าน 20,016 ครั้ง
Bookmark and Share
แรงดันตกชั่วขณะเนื่องจากการเกิดฟอลต์ลงดินเส้นเดียว
โดย : Admin


แรงดันตกชั่วขณะเนื่องจากการเกิดฟอลต์ลงดินเส้นเดียว
Voltage Sags due to Single Line to Ground Faults


กิตติกร มณีสว่าง   วิศวกรระดับ 5
แผนกวิจัยคุณภาพไฟฟ้าอุตสาหกรรม กองวิจัย ฝ่ายพัฒนาระบบไฟฟ้า

โทรศัพท์ : 590-5576 โทรสาร : 590-5810 email : kittikorn_man@hotmail.com



  

          1. คำนำ(Introduction)

                    แรงดันตกชั่วขณะ (Voltage Sags)  เป็นปัญหาทางด้านคุณภาพไฟฟ้าอีกประเภทหนึ่งที่สร้างปัญหาให้กับผู้ใช้ไฟทั่วไป
              ซึ่งสาเหตุส่วนใหญ่มักมีผลสืบเนื่องมาจากการเกิดฟอลต์ในระบบจำหน่าย  แล้วส่งผลกระทบจนทำให้เกิดปัญหาแรงดันตก
              ชั่วขณะไปยังผู้ใช้ไฟในพื้นที่ข้างเคียง ซึ่งความรุนแรงที่เกิดขึ้นนั้นจะผันแปรโดยตรงกับขนาดของกระแสฟอลต์  ประเภท
              ของฟอลต์ และระยะเวลาในการกำจัดฟอลต์ของอุปกรณ์ป้องกัน ดังนั้นจะเห็นว่ามีปัจจัยหลายอย่างที่เป็นองค์ประกอบสำคัญ
              ในการบ่งชี้ระดับความรุนแรงซึ่งจะสะท้อนถึงผลกระทบที่จะเกิดขึ้นกับผู้ใช้ไฟด้วย
              ความน่าสนใจของปัญหาแรงดันตกชั่วขณะอยู่ที่การทำให้อุปกรณ์ที่ไวต่อการเปลี่ยนแปลงของแรงดันและระยะเวลา
              ต้องปลดวงจรออกจากระบบเป็นผลให้ขบวนการผลิตหยุดชะงัก สินค้าไม่ได้คุณภาพ สิ้นเปลืองแรงงานและเสียค่าใช้จ่ายใน
              ขบวนการผลิตเพิ่มขึ้น ซึ่งจากแง่มุมของปัญหาที่เกิดขึ้น    จึงทำให้หลายฝ่ายให้ความสำคัญกับการแก้ปัญหาโดยการป้องกัน
             ไม่ให้เกิดฟอลต์ขึ้นในระบบ    แต่ในความเป็นจริงแล้วเป็นเรื่องที่กระทำได้ยากมากเนื่องจากระบบจำหน่ายโดยส่วนใหญ่
             เป็นระบบสายเปลือยเหนือดิน (Overhead Line) จึงมีโอกาสที่จะเกิดฟอลต์ได้ง่าย     ดังนั้นปัญหาแรงดันตกชั่วขณะจึงยังคง
             เกิดขึ้นอยู่  และจากการเก็บข้อมูลทางสถิติ         ทำให้ทราบว่าการเกิดฟอลต์โดยส่วนใหญ่มักเป็นการเกิดฟอลต์แบบลงดิน
             เส้นเดียวและเกิดขึ้นชั่วคราวในระยะเวลาสั้นๆดังรูปที่ 1. แต่ถึงอย่างไรก็ตามความรุนแรงที่เกิดขึ้นก็อาจมีค่าเพียงพอที่จะ
             สร้างผลกระทบต่ออุปกรณ์ต่างๆที่ติดตั้งใช้งานอยู่ในระบบและเพื่อให้เกิดความชัดเจนยิ่งขึ้น     
                         บทความนี้จะได้นำเสนอความเข้าใจเบื้องต้นเกี่ยวกับปัญหาแรงดันตกชั่วขณะที่มีสาเหตุมาจากการเกิดฟอลต์แบบ
             ลงดินเส้นเดียวดังจะได้กล่าวต่อไปนี้


รูปที่ 1. แรงดันตกชั่วขณะเนื่องจากฟอลต์แบบลงดินเส้นเดียว
(ระดับแรงดันมีค่าลดลงเหลือ 20 %ของแรงดันปกติ ในช่วงเวลา 3 Cycles)

               2. ระบบไม่สมดุลแบบ 3 เฟส(Three Phase Unbalanced)

                       ในการศึกษาค่ากระแสฟอลต์ในระบบไฟฟ้านั้นมีการ แบ่งแยกออกเป็น 2 ประเภท คือ สามเฟสฟอลต์แบบสมมาตร
             (Three Phase Symmetrical Fault) และ ฟอลต์แบบไม่สมมาตร(Unsymmetrical Fault) ซึ่งฟอลต์แบบไม่สมมาตรยังแบ่งออก
             เป็นฟอลต์ลงดินเส้นเดียว (Single Line to Ground Fault)  ฟอลต์ระหว่างสาย (Line to Line Fault)   และฟอลต์สองสายลงดิน
             (Double line to ground Fault)  ซึ่งในการคำนวณหาค่ากระแสฟอลต์ที่ส่งผลกระทบในการทำให้เกิดปัญหาแรงดันตกชั่วขณะ
             จำเป็นต้องอาศัยหลักการของส่วนประกอบสมมาตร(Symmetrical Component) ดังรูปที่ 2. เพื่อสร้างเฟสเซอร์ ์ไม่สมมาตรซึ่ง
             ประกอบไปด้วย
                                                   ส่วนประกอบลำดับบวก(Positive Sequence)
                                                   ส่วนประกอบลำดับลบ(Negative Sequence)
                                                   ส่วนประกอบลำดับศูนย์(Zero Sequence)

รูปที่ 2. แสดงส่วนประกอบสมมาตร

                   3. ฟอลต์แบบลงดินเส้นเดียว(Single Line to Ground Faults)

รูปที่ 3. แสดงส่วนประกอบของการเกิดฟอลต์แบบลงดินเส้นเดียว

รูปที่ 4. แสดงการเชื่อมต่อของส่วนประกอบเมื่อเกิดฟอลต์แบบลงดินเส้นเดียว

                        จากรูปที่ 4. ถ้ากำหนดให้แรงดัน E = 1 และจากหลักการของโวลต์เตจดีไวด์เดอร์ (Voltage Divider)สามารถคำนวณ
                    หาค่าแรงดันของส่วนประกอบต่างๆได้ดังสมการต่อไปนี้
       
                                 .........   (1)
                                 .........   (2)
                               ........   (3)

                       และจากสมการที่ (1.), (2.) และ (3.) สามารถนำมาคำนวณหาค่าแรงดันในแต่ละเฟสขณะเกิดฟอลต์ได้ดังสมการที่ (4.),
                    (5.)และ (6.)
                                               .........   (4)
                                        .........   (5)
                                            .........   (6)

                    และจากสมการ (1.) (2.)และ (3.) สามารถคำนวณหาค่าแรงดันในแต่ละเฟสได้ใหม่ดังสมการที่ (7.), (8.)และ (9.)
                                     .........   (7)
                                         .........   (8)
                                          .........   (9)
   
                        ซึ่งแรงดันเหล่านี้สามารถเขียนให้อยู่ในรูปของเฟสเซอร์ไดอะแกรมได้ดังรูปที่ 5. (กรณีเกิดฟอลต์ที่ เฟส a) ระดับ
                    แรงดันตก ของเฟสที่ไม่เกิดฟอลต์ที่เกิดขึ้นจะอยู่ภายใต้องค์ประกอบดังต่อไปนี้ คือ
                          - แรงดันตกจะเป็นสัดส่วนกับค่าอิมพีแดนซ์ของแหล่งจ่ายของส่วนประกอบลำดับบวกและสัมพันธ์กับแรงดันก่อน
                            เกิดฟอลต์
                         - แรงดันตกจะเป็นสัดส่วนกับค่าอิมพีแดนซ์ของแหล่งจ่ายของส่วนประกอบลำดับลบ   และสัมพันธ์กับแรงดันก่อน
                           เกิดฟอลต์ของเฟสที่ไม่เกิดฟอลต์
                         - แรงดันตกจะเป็นสัดส่วนกับค่าอิมพีแดนซ์ของแหล่งจ่ายของส่วนประกอบลำดับศูนย์และสัมพันธ์กับแรงดันก่อน
                           เกิดฟอลต์ของเฟสที่เกิดฟอลต์
รูปที่ 5. แสดงเฟสเซอร์ไดอะแกรมของแรงดันแต่ละเฟส กรณีเกิดฟอลต์ที่เฟส a

                     และในส่วนของแรงดันระหว่างเฟสที่ไม่เกิดฟอลต์สามารถคำนวณหาค่าได้ดังสมการที่ (10.)
                ........  (10)

                       จากสมการ (10.) จะสังเกตได้ว่าการเปลี่ยนแปลงของแรงดันระหว่างเฟสที่ไม่เกิดฟอลต์จะขึ้นอยู่กับค่าความแตกต่าง
             ระหว่างส่วนประกอบอิมพีแดนซ์ลำดับบวก(Positive Sequence)กับส่วนประกอบอิมพีแดนซ์ลำดับลบ(Negative Sequence)
             ซึ่งในสภาพปกติส่วนประกอบทั้งสองนี้จะมีค่าที่เท่ากัน

             3.1 ระบบการต่อลงดินโดยตรง(Solidly-Grounded Systems)
                   ระบบนี้เป็นการต่อจุดนิวตรอลลงดินโดยตรง ซึ่งสามารถคำนวณหาค่าแรงดันตกขณะเกิดฟอลต์ได้ดังสมการ (11.)
                                        ........   (11)

              3.2 ระบบการต่อลงดินแบบมีอิมพีแดนซ์(Impedance-Grounded Systems)
                          ระบบนี้เป็นการต่อลงดินโดยผ่าน Resistance หรือ High Impedance ซึ่งสามารถคำนวณหาค่าแรงดันตกเมื่อเกิด
              ฟอลต์ แบบลงดินเส้นเดียวได้ดังสมการที่ (12.) โดยกำหนดให้ ZS1 = ZS2 และ ZF1 = ZF2
                          ซึ่งจากสมการดังกล่าวจะสังเกตว่าส่วนประกอบลำดับศูนย์เป็นตัวแปรที่สำคัญในการกำหนดขนาดของแรงดันตก
              ระหว่างที่เกิดฟอลต์
                     ........   (12)

               4. แรงดันตกเนื่องจากเกิดฟอลต์ลงดินเส้นเดียวที่ด้านปฐมภูมิของหม้อแปลง
                    (Voltage Sags due to Single-Line to Ground Faults on Primary Side)

                     สมมติให้เกิดฟอลต์ด้านปฐมภูมิของหม้อแปลงที่เฟส a ในตำแหน่งที่ 1 ดังรูปที่ 6 ซึ่งตามหลักการของ Theveninจะได้ค่า
                 แรงดันที่แหล่งจ่ายในขณะที่ยังไม่เกิดฟอลต์ดังสมการที่ (13.)
                  
                       ........   (13)

                   และจะได้ค่ารีแอคแตนซ์ของระบบในขณะเกิดฟอลต์ดังนี้ คือ

                  

                  Line Reactance ระหว่าง Source และตำแหน่งที่เกิดฟอลต ์  
                                                        
                 Line Reactance ระหว่าง Source และตำแหน่งที่เกิดฟอลต์
                                                        
                 โดยที่    
                              
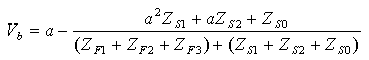
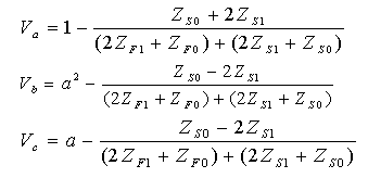
                  ถ้ากำหนดให้ด้านปฐมภูมิของหม้อแปลงเป็นระบบ Wye Ungrounded จะได้ค่าแรงดันตกในตำแหน่งที่1 ดังสมการที่ (14.)
                     ........   (14)

                  และจากสมการที่ (14.) จะได้สมการที่ ......15,16,17
                

                


               
               จึงสามารถเขียนสมการที่ (15.), (16.) และ (17.) ได้ใหม่เป็นสมการที่ (18.), (19.) และ (20.)
                     ........   (18)
                             ........   (19)
                                   ........   (20)
              และจากสมการที่ (18.), (19.) และ (20.) สามารถนำมาคำนวณหาค่าแรงดันตกระหว่างเฟสได้ดังสมการที่ (21.), (22.)
              และ(23.)
                      ........   (21)
                ........   (22)
                  ........   (23)

รูปที่ 7 แสดงเฟสเซอร์ของแรงดันตกเมื่อเกิดฟอลต์ที่ด้านปฐมภูมิของหม้อแปลง

 


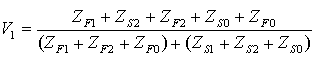
                 ถ้าด้านทุติยภูมิของหม้อแปลงต่อเป็นแบบ Delta จะสามารถคำนวณหาค่าแรงดันตกที่เกิดจากฟอลต์ทางด้านปฐมภูมิของ
             หม้อแปลงได้ดังนี้
               
                              จากการคำนวณหาค่าแรงดันตกทางด้านทุติยภูมิที่มีผลมาจากการเกิดฟอลต์ลงดินเส้นเดียวทางด้านปฐมภูมิของ
             หม้อแปลงข้างต้นสามารถนำมาประยุกต์เพื่อคำนวณหาค่าแรงดันตกสำหรับหม้อแปลงที่มี Connection ต่างกันได้  ดังตาราง
             ที่ 1

                 ตารางที่ 1 แสดงขนาดของแรงดันตกด้านทุติยภูมิเปรียบเทียบกับ Connection ของหม้อแปลงแบบต่างๆ

 
Transformer Connection
Pri / Sec
Vab  
(Van)
Vbc
 (Vbn)
Vca
 (Vcn)
WyeUngrounded /
Wye Ungrounded
0.577350
(0.333333)
1.000000
(0.881917)
0.577350
(0.881917)
WyeUngrounded /
Wye grounded
0.577350
(0.333333)
1.000000
(0.881917)
0.577350
(0.881917)
Wye Ungrounded/
Delta
0.577350
(0.333333)
1.000000
(0.881917)
0.577350
(0.881917)
Wye grounded /
Wye Ungrounded
0.333333
(-)
0.881917
(-)
0.881917
(-)
Wye grounded /
Wye grounded
0.577350
(0.000000)
1.000000
(1.000000)
0.577350
(1.000000)
Wye grounded /
Delta
0.333333
(-)
0.881917
(-)
0.881917
(-)
Delta /
Wye Ungrounded
0.881917
(0.577350)
0.881917
(1.000000)
0.333333
(0.577350)
Delta /
Wye grounded
0.881917
(0.577350)
0.881917
(1.000000)
0.333333
(0.577350)
Delta /
Delta
0.577350
(0.333333)
1.000000
(0.881917)
0.577350
(0.881917)


 

                 5. ข้อสรุป(Conclusions)
                    การพิจารณาความรุนแรงของปัญหาแรงดันตกที่มีสาเหตุมาจากการเกิดฟอลต์แบบลงดินเส้นเดียวในระบบนั้นมี
                หลายสิ่งที่ต้องคำนึงถึง เช่น Connection  ของหม้อแปลง ,  ค่า Source Impedance  ของแหล่งจ่ายไฟ ค่าอิมพีแดนซ์
                ของสายไฟและหม้อแปลง   ซึ่งในขณะที่เกิดฟอลต์ขึ้นในระบบแรงดันของเฟสที่เกิดฟอลต์จะตกลงเข้าใกล้ศูนย์ส่วน
                แรงดัน ของเฟสส่วนที่ไม่เกิดฟอลต์จะยังคงปรากฏแรงดันอยู่ซึ่งจะมากหรือน้อย     ขึ้นอยู่กับระบบว่าทำการต่อแบบ
                ลงดินโดยตรง( Solidly -Grounded ) หรือต่อแบบมีอิมพีแดนซ ์( Impedance-Grounded,NGR)  สำหรับระบบทางด้าน
                ทุติยภูมิ        หรือด้านแรงต่ำของหม้อแปลงผู้ใช้ไฟก็จะได้รับผลกระทบจากฟอลต์เช่นกัน แต่อาจได้รับความรุนแรง
                ที่แตกต่างกันขึ้นอยู่กับ Connection ของหม้อแปลงที่เลือกใช้

                6.เอกสารอ้างอิง(References)
                 1. Math H.J. Bollen, P. Wang, N.Jenkins, "Analysis and Consequences of the Phase Jump Associated with a
                     Voltage Sag", Power Systems Computation Conference, Dresden, German, August, 1996.
                 2. M.H.J. Bollen, "Characterization of Voltage Sags Experienced by Three Phase Adjustable Speed Drives"
                     ,PQA'97 Europe, Stockholm, Sweden, June, 1997.
                 3. M.McGranaghan, "Voltage Sags in Industrial Systems",1991 IEEE I&CPS Technical Conference Record.
                 4. L.Conrad, K.Little, C.grigg, "Prediction and Peventing Problems Associated with Remote Fault-Clearing
                     Voltage Dips",IEEE Transaction on Industry Applications, vol.27.,No 1,January,1991.

========================================================

 

 

 

14 December 2025
:: MEMBER LOGIN
E-mail Account
Password
:: OUR SPONSORS
LZD
LZD
LZD
LZD
LZD
LZD
LZD
LZD
LZD
LZD