|
ฮาร์มอนิกในระบบไฟฟ้า
Harmonic in power system
|
|
sakchai@pea.or.th
|
|
|
|
ในปัจจุบันการไฟฟ้าหรือผู้ใช้ไฟฟ้าได้ให้ความสำคัญกับคุณภาพไฟฟ้ามากขึ้น เนื่องจากในระบบไฟฟ้าและโดยเฉพาะ
ในกระบวนการผลิตของอุตสาหกรรม ได้มีการใช้อุปกรณ์ที่มีเทคโนโลยีสูงกว่าเดิมในอดีต ซึ่งคุณลักษณะการทำงานของ
อุปกรณ์ดังกล่าวจะไวต่อการเปลี่ยนแปลงต่อกระแสและแรงดัน คือถ้ามีขนาดและรูปร่างผิดเพี้ยน ไปจากสภาพการจ่ายไฟ
ปกติ อาจจะทำให้อุปกรณ์มีการทำงานผิดพลาดหรือเกิดการชำรุดเสียหายขึ้นได้ ซึ่งเป็นปัญหาคุณภาพไฟฟ้าที่ต้องมีการ
ป้องกันและแก้ไข โดยสาเหตุหลักที่ทำให้กระแสและแรงดันในระบบไฟฟ้ามีขนาดและรูปร่างผิดเพี้ยนไปจากสภาพการ
จ่ายไฟปกติ มีสาเหตุเกิดจากฮาร์มอนิกที่มีอยู่ในระบบไฟฟ้า ซึ่งเนื่องจากปัจจุบันโรงงานอุตสาหกรรมและอาคารพาณิชย์
มีการใช้อุปกรณ์สมัยใหม่เทคโนโลยีสูงที่ทำจากอุปกรณ์ทางด้านโซลิดสเตท เพื่อเพิ่มประสิทธิภาพในการควบคุมกระบวน
การผลิตให้มีคุณภาพและได้ปริมาณตามที่ต้องการและในอนาคตจะมีแนวโน้มการใช้มากขึ้นเรื่อยๆ โดยส่วนใหญ่เป็น
อุปกรณ์ที่มีการทำงานแบบไม่เป็นเชิงเส้น (Non-liner load) ซึ่งเป็นแหล่งกำเนิดฮาร์มอนิก เช่นคอนเวอร์เตอร์
(Convertor) ตัวเรียงกระแสกำลัง ( Power Rectifier) และชุดขับเคลื่อนปรับความเร็ว(Adjustable-Speed Drive)
เป็นต้นฯ
ด้วยผลของการใช้อุปกรณ์ที่มีการทำงานแบบไม่เป็นเชิงเส้น อุปกรณ์ดังกล่าวจะจ่ายกระแสฮาร์มอนิกเข้าสู่ระบบไฟฟ้า
ภายในของผู้ใช้ไฟเอง หรือถ้าเป็นอุปกรณ์ที่มีพิกัดขนาดใหญ่ กระแสฮาร์มอนิกนั้นอาจไหลเข้าสู่ระบบไฟฟ้าอื่นในบริเวณ
ข้างเคียง จากผลกระทบของฮาร์มอนิกส์ทำให้กระแสและแรงดันในระบบมีขนาดและรูปร่างเพี้ยน ( Distortion) ไปจาก
สภาพการจ่ายไฟปกติ ซึ่งเป็นผลทำให้อุปกรณ์มีการทำงานผิดพลาดหรือเกิดการชำรุดเสียหายได้ และเพื่อเป็นการเตรียม
พร้อมสำหรับการป้องกันและแก้ไขปัญหาดังกล่าวที่เกิดขึ้นในระบบไฟฟ้าในบ้านเรา ในบทความนี้จะกล่าวถึงความเข้าใจ
เบื้องต้น และภาพโดยรวมทั่วไปของฮาร์มอนิก แหล่งกำเนิดฮาร์มอนิก และผลกระทบที่เกิดจากปัญหาฮาร์มอนิก เพื่อเป็น
ความเข้าใจเบื้องต้นก่อนที่จะศึกษาและทำการวิเคราะห์แก้ไขปัญหาฮาร์มอนิกขั้นต่อไปซึ่งเป็นส่วนหนึ่งที่จะช่วยทำให้ระบบ
ไฟฟ้าในบ้านเรา มีคุณภาพยิ่งขึ้น
คำนิยามฮาร์มอนิก
ฮาร์มอนิก ( Harmonic ) คือส่วนประกอบในรูปสัญญาณคลื่นไซน์ (Sine wave) ของสัญญาณหรือปริมาณเป็นคาบใดๆ
ซึ่งมีความถี่เป็นจำนวนเต็มเท่าของความถี่หลักมูล ( Fundamental Frequency ในระบบไฟฟ้า เรามีค่าเท่ากับ 50 Hz)
เช่นฮาร์มอนิกลำดับที่ 3 มีค่าความถี่เป็น 150Hz และฮาร์มอนิกลำดับที่ 5 มีค่าความถี่เป็น 250Hz ฯ แสดงดังรูปที่1
|

รูปที่1 ฮาร์มอนิกที่ลำดับต่างๆ
|
และผลของฮาร์มอนิกเมื่อรวมกันกับสัญญาณความถี่หลักมูลด้วยทางขนาด (Amplitude) และมุมเฟส (Phase Angle)
ทำให้สัญญาณที่เกิดขึ้นมีขนาดเปลี่ยนไปและมีรูปสัญญาณเพี้ยนไปจากสัญญาณคลื่นไซน์ดังรูปที่ 2
|

รูปที่ 2 แสดงถึงฮาร์มอนิกส์ลำดับที่ 3,5 และ 7 ที่มุมต่างๆ ทำให้สัญญาณไซด์มีรูปร่างผิดเพี้ยน
|
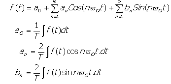
ในทางคณิตศาสตร์สามารถใช้อนุกรมฟูเรียร์อธิบายคุณลักษณะของฮาร์มอนิกส์ได้ โดยสัญญาณหรือฟังก์ชัน ที่เป็นคาบใดๆ
สามารถกระจายให้อยู่ในรูปผลรวมของฟังก์ชันตรีโกณมิติที่ความถี่ต่างๆเป็นฟังก์ชันคาบที่เขียนแทนด้วย f (t ) ดังสมการ
|
|
|
เมื่อ T คือ 1 คาบของสัญญาณและ n คือเลขจำนวนเต็มบวก
n คือจำนวนเต็มบวก
ในกรณีที่ n = 0 จะเป็นความถี่มูลฐาน ( Fundamental Frequency ) หรือกรณีที่ n มีค่ามากกว่าศูนย์เราเรียกความถี่
นี้ว่าฮาร์มอนิกส์ลำดับที่ n ซึ่งเป็นได้ทั้งลำดับคู่และคี่ และจากรูปที่ 3.1 ข.และรูป. 3.2ข. แสดงถึงความเพี้ยนของสัญญาณ
ที่เกิดขึ้นเกิดจากการรวมสัญญาณคลื่นไซน์ที่ความถี่หลักมูลกับคลื่นไซน์ที่เป็นฮาร์มอนิกลำดับที่ 3 ดังรูปที่ 3.1ก. และรูป
3.2ก. ตามลำดับ
|
|
|
|
|
ค่าความเพี้ยนฮาร์มอนิกรวม
มาตรฐาน IEC และ IEEE ใช้ค่าความเพี้ยนฮาร์มอนิกส์ : %THD (Total Harmonic Distrotion ) เป็นค่าบอกระดับ
ความเพี้ยนฮาร์มอนิก โดยเทียบจากอัตราส่วนระหว่างค่ารากที่สองของผลบวกกำลังสองของส่วนประกอบฮาร์มอนิก
กับค่าของส่วนประกอบความถี่หลักมูลเทียบเป็นร้อยละ ซึ่งจะแยกออกเป็น ค่าความเพี้ยนกระแสฮาร์มอนิกรวม และค่า
ความเพี้ยนแรงดันฮาร์มอนิกรวม
|
|
|
Vh (rms) : ค่า rmsของแรงดันฮาร์มอนิกลำดับที่ h
Ih (rms) : ค่า rmsของกระแสฮาร์มอนิกลำดับที่ h
V1 (rms) : ค่า rmsของแรงดันที่ความถี่หลักมูล
I1 (rms) : ค่า rmsของกระแสที่ความถี่หลักมูล
|
ความสัมพันธ์ของ %THDI % THDV และ MVASC
ในบางครั้งค่าของ %THDI ที่มีค่าสูงๆในระบบไฟฟ้า ระบบไฟฟ้านั้นอาจจะไม่เกิดผลกระทบจากปัญหาฮาร์มอนิกส์ได้เพราะ
ค่า %THDI จะเป็นเพียงค่าที่บอกถึงคุณลักษณะของกระแสฮาร์มอนิกส์ของโหลดที่ไม่เป็นเชิงเส้นแต่ละชนิด ( ดูจากสูตรดัง
ข้างต้นและตารางที่ 1ประกอบ) แต่ไม่สามารถที่จะบอกถึงความรุนแรงของระดับฮาร์มอนิกส์ได้อย่างสมบูรณ์ ดังในกรณีขนาด
พิกัด กำลังของโหลดที่ไม่เป็นเชิงเส้นชนิดหนึ่งตัวเดียวกัน ที่ค่าพิกัดกำลังมากหรือน้อย ค่า %THDIของโหลดดังกล่าวก็จะเป็น
ค่าเดียวกัน แต่ระดับความรุนแรงที่ทำให้เกิดปัญหาฮาร์มอนิกส์จะไม่เท่ากัน ดังนั้นถ้าเราจะพิจารณาค่าของ %THDI ควรจะ
พิจารณาถึงพิกัดกำลังของโหลดที่ไม่เป็นเชิงเส้นประกอบกันด้วย ซึ่งค่าความเพี้ยนกระแสฮาร์มอนิกจะมีค่าเป็นแอมป์ THDI
เราสามารถที่จะพิจารณาถึงระดับความรุนแรงของปัญหาฮาร์มอนิกส์ในระดับหนึ่งได้ ส่วนค่า % THDV นั้นสามารถที่บอกถึง
ระดับความรุนแรงของปัญหาฮาร์มอนิกส์ในระบบได้ซึ่งจะต่างจากค่า %THDI โดยจะอธิบายถึงความสัมพันธ์ระหว่างกระแส
แรงดันฮาร์มอนิกส์ และค่าพิกัดลังวงจรของระบบ (MVASC) ดังรูปที่ 4
|
|
|
|
รูปที่ 4 ความสัมพันธ์ของกระแส แรงดัน และค่าอิมพิแดนซ์ฮาร์มอนิก
|
จากรูปที่ 4 ที่แหล่งกำเนิดแรงดันไฟฟ้า จะมีค่าอิมพิแดนซ์ค่าหนึ่งซึ่งขึ้นอยู่กับค่าความถี่ของผู้ใช้ไฟ (50 Hz) เมื่อโหลด
ที่ไม่เป็น เชิงเส้นทำงานจะจ่ายกระแสฮาร์มอนิกส์ที่ลำดับต่างๆ (Ih) เข้าสู่ระบบ และผ่านค่าอิมพิแดนซ์ของระบบที่ความถี่ต่างๆ
( Zh )ของระบบทำให้เกิดแรงดันฮาร์มอนิกส์ที่ลำดับต่างๆ (Vh) ทำให้สัญญาณแรงดันในระบบมีขนาดและสัญญาณผิดเพี้ยนไป
จากแหล่งจ่ายเดิม ตามสมการ Vh = Ih x Zh และจากสมการทำให้เราสามารถพิจารณาได้ว่าค่าความเพี้ยน แรงดันฮาร์มอนิก
ที่เกิดในระบบหนึ่งนั้น(ไม่คำนึงถึงสภาวะปัญหาฮาร์มอนิกส์รีโซแนนซ์) จะขึ้นอยู่กับชนิดและพิกัด กำลังของโหลดที่ไม่เป็นเชิง
เส้น (Ih) และค่าพิกัดกำลังลัดวงจรของระบบไฟฟ้า (Zh) นั่นคือ กรณีสถานที่ตั้งของโหลดที่ไม่เป็นเชิงเส้นอยู่ใกล้สถานีไฟฟ้าฯ
ซึ่งมีค่าพิกัดลัดวงจรสูงจะมีค่าอิมพิแดนซ์ของระบบต่ำ แต่ถ้าอยู่ไกลสถานีไฟฟ้าฯ ค่าพิกัดลัดวงจรสูงจะมีค่าอิมพิแดนซ์ของระบบ
สูง ซึ่งทำให้พิจาณาได้ว่าโรงงานที่มีโหลดไม่เป็นเชิงเส้นที่อยู่ใก้ลสถานีไฟฟ้าฯ จะได้รับผลกระทบจากปัญหาฮาร์มอนิกส์น้อยกว่า
โรงงานที่อยู่ไกล สถานีไฟฟ้าฯ ในกรณีที่ระบบภายในโรงงานเหมือนกันดังรูปที่ 5
|
|
|
|
รูปที่ 5 แสดงการเปรียบเทียบค่า % THDVของแต่ระบบและสถานที่ตั้ง
|
จุดต่อร่วม (Point of Common Coupling , PCC)
คือจุดซื้อขายไฟระหว่างการไฟฟ้ากับผู้ใช้ไฟ หรือตำแหน่งที่ทำการตรวจวัดฮาร์มอนิก
|
แหล่งกำเนิดฮาร์มอนิก
จากที่กล่าวมาโดยภาวะปกติ การไฟฟ้าจะจ่ายแรงดันไฟฟ้าที่เป็นรูปสัญญาณคลื่นไซน์ให้กับโหลด
ประเภทต่างๆของผู้ใช้ไฟ แต่ในกรณีในระบบไฟฟ้าที่ผู้ใช้ไฟบางรายมีโหลดประเภทไม่เป็นเชิงเส้น
( Nonlinear Load ) ซึ่งโหลดดังกล่าวเป็นแหล่งกำเนิดฮาร์มอนิก กระแสฮาร์มอนิกนั้นจะไหลเข้าสู่ระบบ
ของผู้ใช้ไฟเองและระบบไฟฟ้าข้างเคียง ผลของกระแสฮาร์มอนิกจะทำให้เกิดแรงดันในระบบไฟฟ้าเพี้ยนไป
จากรูปคลื่นไซน์ ค่าความเพี้ยนของแรงดันจะมากหรือน้อยนั้น ขึ้นอยู่กับค่าอิมพิแดนซ์ของระบบและขนาด
ของกระแสฮาร์มอนิกที่ความถี่ต่างๆ ด้วยผลของกระแสฮาร์มอนิกดังกล่าวไหลเข้าสู่ระบบใกล้เคียง อาจไป
รบกวนการทำงานหรือสร้างความเสียหายแก่อุปกรณ์ของผู้ใช้ไฟรายอื่นๆและอุปกรณ์ในระบบของการไฟฟ้าได้
ดังนั้นเรามีความเป็นที่จะต้องทราบว่าโหลดที่อยู่ในอาคารหรือโรงงานอุตสาหกรรมเรานั้น มีโหลดที่เป็นแหล่ง
จ่ายฮาร์มอนิกส์หรือไม่ และโหลดประเภทใดเป็นโหลดที่เป็นแหล่งจ่ายฮาร์มอนิกส์ เพื่อที่ทำความใจก่อนที่จะ
ทำการแก้ไขและป้องกันปัญหาที่อาจเกิดขึ้นจากฮาร์มอนิกส์ต่อไป เราสามารถแบ่งแหล่งกำเนิดฮาร์มอนิกตาม
คุณลักษณะการทำงานของอุปกรณ์ได้ดังต่อไปนี้
|
1. อุปกรณ์อิเลคทรอนิกส์ที่มีทั่วไปในบ้านพัก สำนักงาน ส่วนใหญ่เป็นชนิด 1เฟส
1.1 อุปกรณ์ที่มีการใช้แหล่งจ่ายกำลังแบบสวิทซ์ชิ่ง(SWITCHING MODE POWER SUPPLY : SMPS
เช่น เครื่องคอมพิวเตอร์ (Computer)
|
|
|
1.2 บาลาสต์อิเลคทรอนิกส์ ( Electronic Ballast) |
|
|
2. อุปกรณ์อิเลคทรอนิกส์กำลัง เป็นอุปกรณ์ที่ใช้ในการผลิตในโรงงานอุตสาหกรรม
2.1 ตัวเรียงกระแสกำลัง (Power Rectifier)
2.2 เครื่องแปลงผันกำลังแบบสถิต (Static Power Converter :SPC)
2.3 ตัวโปรแกรมเมเบิ้ลลอจิกคอนโทรลเลอร์ (Programmable Logic Controller :PLC)
2.4 ชุดขับเคลื่อนปรับความเร็วได้ (Adjustable Speed Drive :ASD)
|
|
|
3.อุปกรณ์ที่มีการทำงานประเภทอาร์ค
3.1 เตาหลอมแบบอาร์ค (Arc Furnace)
3.2 เตาหลอมแบบเหนี่ยวนำ (Induction Furnace)
3.3 เครื่องเชื่อมแบบอาร์ค/แบบสปอต (Arc Welding / Spot Welding)
|
|
|
4. อุปกรณ์ที่มีความสัมพันธ์ไม่เป็นเชิงเส้นของแรงดันและกระแสเนื่องจากการอิ่มตัวของแกนเหล็กทางแม่เหล็กไฟฟ้า
เช่น หม้อแปลงไฟฟ้า (Transformer)และเครื่องกลไฟฟ้า (Electric Machine ) |
|
ผลกระทบของฮาร์มอนิกที่มีผลต่ออุปกรณ์ในระบบไฟฟ้า
ปัญหาฮาร์มอนิกที่ทำให้เกิดผลกระทบต่ออุปกรณ์ในระบบไฟฟ้าออกเป็น 2 กรณีคือ
- ทำให้อุปกรณ์ในระบบมีการทำงานผิดพลาดด้วยผลของค่าแรงดันและกระแสฮาร์มอนิกที่มีขนาดและรูปคลื่น
สัญญาณไซน์ผิดเพี้ยนไป
- ทำให้อุปกรณ์ในระบบมีอายุการใช้งานน้อยลงหรือเกิดการชำรุดเสียหาย เนื่องจากมีค่า rms ของแรงดันหรือ
กระแส สูงขึ้นที่เกิดจากค่าฮาร์มอนิก หรือมีการขยายของแรงดันและกระแสฮาร์มอนิก ที่เกิดจากฮาร์มอนิก
รีโซแนนซ์
ปัญหาฮาร์มอนิกที่ส่งผลกระทบต่ออุปกรณ์ในระบบไฟฟ้าดังนี้คือ
1. ผลของฮาร์มอนิกเรโซแนนซ์เกิดขึ้นในกรณีที่ความถี่เรโซแนนซ์ของระบบไปตรงกับความถี่ฮาร์มอนิกทำให้เกิด
การขยายขนาดของแรงดันและกระแสฮาร์มอนิก เป็นผลทำให้อุปกรณ์ได้รับความเสียหายเนื่องจากได้รับกระแส
และแรงดันเกินพิกัด
2 . ผลของกระแสฮาร์มอนิกที่ไหลอยู่ในระบบจำหน่ายและสายส่ง ทำให้เกิดค่ากำลังสูญเสียในสายมากขึ้น ทำให้
ประสิทธิภาพ การส่งจ่ายลดลง เนื่องจากกระแสฮาร์มอนิกทำให้ค่า rms ของกระแสและความต้านทานของสายสูงขึ้น
3. ผลของกระแสฮาร์มอนิก Triplen ( ลำดับที่3,6,9..) จัดอยู่ในกลุ่มที่มีลำดับเป็นศูนย์ ( Zero Sequence) ในระบบ 3 เฟส
4 สาย ฮาร์มอนิกกลุ่มนี้จะรวมกันกันไหลอยู่ในสายนิวตรอล อาจทำให้สายนิวตรอนหรือหม้อแปลงเสียหายได้หากไม่มี
การออกแแบบรองรับไว้
4. ผลของกระแสฮาร์มอนิกทำให้กำลังสูญเสียขณะมีโหลดและกำลังสูญเสียสเตรย์ฟลักซ์ (Stray Flux Loss) ของหม้อแปลง
มีค่าเพิ่มขึ้น และทำให้ประสิทธิภาพการในรับโหลดของหม้อแปลงลดลงไป(derating) ผลของแรงดันฮาร์มอนิกทำให้เกิด
กำลังสูญเสียกระแสไหลวน (Eddy Current Loss) และกำลังสูญเสียฮิสเทอรีซีส (Hysteresis -Loss) เพิ่มขึ้น
5. ผลของกระแสฮาร์มอนิกทำให้เกิดความร้อนและความเครียดไดอิเลคตริก ( Dielectric Stress ) กับตัวคาปาซิเตอร์
และอาจทำให้ฟิวส์ของตัวคาปาซิเตอร์ขาดง่ายกว่าการใช้งานปกติ ผลของแรงดันฮาร์มอนิกทำให้เกิดค่ากำลังสูญเสียใน
คาปาซิเตอร์ และผลจากภาวะเรโซแนนซ์ที่ตัวคาปาซิเตอร์ทำให้เกิดขยายกระแสและแรงดันฮาร์มอนิกขนาดใหญ่
ดังนั้น เพื่อความปลอดภัยในการใช้งานของคาปาซิเตอร์สามารถทนต่อค่ากระแสและแรงดันฮาร์มอนิก คาปาซิเตอร์ที่
ออกแบบสร้างจากผู้ผลิตได้กำหนดตามมาตรฐาน มาตรฐาน IEEE Std. 18-1992
6. ผลของกระแสฮาร์มอนิกทำให้เกิดความร้อนในตัวฟิวส์เพิ่มขึ้น ทำให้ลักษณะเวลา-กระแส (Time-Current Characteristic)
ของฟิวส์เปลี่ยนไป กรณีที่มีฟอลต์ระดับต่ำเกิดขึ้นฟิวส์จะขาดก่อนในเวลาที่กำหนด หรือในกรณีที่ฟิวส์ขาดโดยไม่ทราบ
สาเหตุจะเป็นเหตุมาจากฮาร์มอนิกในกรณีที่เกิดภาวะเรโซแนนซ์ได้เช่นกัน
7. ผลของฮาร์มอนิกทำให้การทำงานของรีเลย์ผิดพลาดซึ่งขึ้นอยู่กับคุณสมบัติการทำงานของชนิดรีเลย์ การทำงานของรีเลย์ชนิด
Electromagnetic ขึ้นอยู่กับค่ากระแสและแรงดัน rms ส่วนการทำงานของรีเลย์ชนิด Digital ขึ้นอยู่กับค่าแรงดันยอดคลื่น
(Crest Voltage) จากการ Sampling และตรวจค่า Zero Crossing ค่ากระแสหรือแรงดันที่ศูนย์ โดยลักษณะที่ทำให้รีเลย์ทำงาน
ผิดพลาดดังนี้
- ทำให้รีเลย์มีการทำงานช้าลง หรือทำงานด้วยค่า(Pickup Values) ที่สูง โดยปกติรีเลย์จะทำงานอย่างรวดเร็วและทำงาน
ด้วยค่าเริ่มต่ำๆ
- กรณีที่มีกระแสฮาร์มอนิกTriplenมากพออาจทำให้กราวด์รีเลย์ทำงานผิดพลาด (False Trip)
- ทำให้รีเลย์ระยะทาง(Distance Relay)ทำงานผิดพลาด ด้วยผลของกระแสฮาร์มอนิกที่ทำให้อิมพิแดนซ์เพิ่มขึ้นต่างจาก
ค่าอิมพิแดนซ์ที่ทำการเซทติ้งที่ความถี่หลักมูล
- ทำให้รีเลย์สถิตแบบความถี่ต่ำ (Static Underfrequency Relay) มีความไวกว่าปกติ อาจทำให้เกิดการทริปผิดพลาด
- ทำให้รีเลย์กระแสและแรงดันเกิน (Overcurrent and Overvoltage Relay) ทำงานผิดพลาดตามคุณสมบัติที่ตั้งไว้
- ทำให้ความเร็วในการทำงานของรีเลย์ชนิดผลต่าง (Differential Relay) ทำงานช้าลง
8. ผลของกระแสฮาร์มอนิกมีผลกระทบต่อความสามารถใน การตัดกระแส ( Current Interruption Capacity ) ของอุปกรณ์
สวิตซ์เกียร์ คือทำให้ขนาดของอัตราค่ากระแสเทียบกับเวลา di / dt มีค่าสูงในขณะที่กระแสมีค่าเป็นศูนย์ เป็นผลทำให้
เซอร์กิตเบรคเกอร์ไม่สามารถตัดกระแสได้เมื่อมีฮาร์มอนิก ซึ่งปัญหานี้จะเกิดกับอุปกรณ์อื่นๆที่ใช้ตัดกระแสได้เช่นกัน
9. ผลของฮาร์มอนิกทำให้มิเตอร์วัดค่าไฟฟ้า ( Watt - Hour Meter ) ซึ่งเป็นมิเตอร์ประเภทจานเหนี่ยวนำ ( Induction Disk)
ทำการวัดค่าผิดพลาดได้ ซึ่งโดยปกติการปรับแต่งมิเตอร์นั้นจะทำการปรับแต่งที่ความถี่หลักมูล
10 .ผลของฮาร์มอนิกต่อเครื่องจักรไฟฟ้า ทำให้กำลังสูญเสียเพิ่มขึ้น เป็นผลทำให้เครื่องจักรร้อนกว่าปกติ ทำให้มอเตอร์
เหนี่ยวนำ สามเฟสเกิดปรากฎการณ์ค็อกกิ้ง(Cogging)คือไม่สามารถสตาร์ทมอเตอร์ได้ จากการที่ความเร็วมอเตอร์ต่ำกว่า
ความเร็วซิงโครนัส และทำให้เกิดการออสซิเลตทางกลของเครื่องจักรไฟฟ้า ซึ่งมีผลต่อประสิทธิภาพและแรงบิดของ
เครื่องจักร
11. ผลของฮาร์มอนิกทำให้เกิดสัญญาณรบกวน(Noise)ในระบบสื่อสารเช่นในระบบโทรศัพท์
สรุป
ฮาร์มอนิกที่อยู่ในระบบไฟฟ้าเป็นปัญหาคุณภาพไฟฟ้าสำคัญเรื่องหนึ่ง เพราะปัจจุบันการใช้โหลดประเภทที่ไม่เป็นเชิงเส้น
ที่เป็นแหล่งจ่ายฮาร์มอนิก และโรงงานอุตสาหกรรมและในอาคารพาณิชย์นับวันมีการใช้โหลดดังกล่าวเพิ่มมากขึ้น ผลทำให้รูป
คลื่นของแรงดันและกระแสเพี้ยนไปจากรูปไซด์ ซึ่งจะส่งผลกระทบให้อุปกรณ์มีการทำงานผิดพลาด หรืออาจเกิดการเสียหายได้
ซึ่งในบทความนี้จะกล่าวถึงผลกระทบจากฮาร์มอนิกเพียงเบื้องต้น และจะนำเสนอในเชิงการวิเคราะห์และวิธีการแนวทางการ
แก้ไขต่อไปในครั้งหน้า
เอกสารอ้างอิง
1. Effects of Harmonic on Equipment "IEEE Transaction on Power Delivery, Vol.8, No.2, April 1993"
2. P519A/D5Guide for Applying Harmonic Limits on Power System
3. IEC 1000-3-6 Assessment of emission limit for distoring loads in MV and HV power system
Basic EMC publication
4. IEEE Std. 18-1992 IEEE Standard for Shunt Power Capacitors
5. IEEE Std. C57.110-1986 Recommended practice for establishing transformer capability when supplying
Nonsinusoidal load currents
|