e-Industrial Technology Center
About us
|
Guest Book
|
Contact us
|
Advertise
Send Your Friends
Set As Homepage
Bookmark
Home
Member
News
Articles
E-Industry Directory
Knowledge Center
Engineering Dictionary
Jobs
Webboard
Poll
Industrial news
PR, Events, Seminar & Training
Techno. & Innovation.
Energy News
Product Highlight
FunnyTech.
Engineering Video
Electrical Power
Automation & Control
Motor Control & Drives
Electronics & Telecom
Industrial (cnc,cad/cam/cae)
Mechanical
Petrochemical,Oil & Gas
Civil & Architect
Logistic engineering
Nice to Know
Others
English Articles
Fundamental
E-learning
Engineering Reference
Job Search
Resume Search
Search
- - - - - - - - - เลือกหมวดหมู่ - - - - - - - - -
Webboard
Top 50 Popular Supplier
1
100,000D_อินเวอร์เตอร์
178,015
2
100,000D_มิเตอร์วัดไฟฟ้า
175,150
3
100,000D_อุปกรณ์ไฟฟ้าและอิเลคทรอนิกส์
174,492
4
100,000D_เครื่องมือช่าง
174,379
5
100,000D_เอซีมอเตอร์
171,776
6
100,000D_ดีซีมอเตอร์
170,888
7
100,000D_อุปกรณ์แคมป์ปิ้ง
169,785
8
100,000D_เครื่องดื่มและสมุนไพร
169,186
9
เคอีบี (KEB ) ประเทศไทย
162,891
10
100,000D_เครื่องใช้ไฟฟ้าครัวเรือน
159,628
11
100,000D_ของใช้จำเป็นสำหรับผู้หญิง
159,565
12
100,000D_ขายของเล่นเด็ก
158,767
13
E&L INTERNATIONAL CO., LTD.
69,310
14
T.N. METAL WORKS Co., Ltd.
64,036
15
ฟิลิปส์อิเล็กทรอนิกส์ (ประเทศไทย) จำกัด
52,118
16
บ.ไทนามิคส์ จำกัด
44,838
17
Industrial Provision co., ltd
40,953
18
ลาดกระบัง ทูลส์ แอนด์ ดาย จำกัด
39,642
19
Infinity Engineering System Co.,Ltd
37,578
20
สยาม เอลมาเทค (siam elmatech)
35,873
21
ไทยเทคนิค อีเล็คตริค จำกัด
34,757
22
ฟอร์จูน เมคคานิค แอนด์ ซัพพลาย
33,083
23
เอเชียเทค พาวเวอร์คอนโทรล จำกัด
32,536
24
บริษัท เวิลด์ ไฮดรอลิคส์ จำกัด
32,362
25
โปรไดร์ฟ ซิสเต็ม จำกัด
28,749
26
ซี.เค.แอล.โพลีเทค เอ็นจิเนียริ่ง
27,758
27
P.D.S. Automation co.,ltd
24,156
28
AVERA CO., LTD.
23,845
29
เลิศบุศย์
22,838
30
ห้างหุ้นส่วนสามัญ เอ-รีไซเคิล กรุ๊ป
21,621
31
เทคนิคอล พรีซิชั่น แมชชีนนิ่ง
21,535
32
Electronics Source Co.,Ltd.
21,278
33
แมชชีนเทค
21,103
34
มากิโน (ประเทศไทย)
20,408
35
อีดีเอ อินเตอร์เนชั่นเนล จำกัด
20,289
36
ทรอนิคส์เซิร์ฟ จำกัด
20,120
37
Pro-face South-East Asia Pacific Co., Ltd.
19,728
38
SAMWHA THAILAND
19,659
39
วอยก้า จำกัด
19,454
40
CHEMTEC AUTOMATION CO.,LTD.
18,863
41
IWASHITA INSTRUMENTS (THAILAND) LTD.
18,644
42
I-Mechanics Co.,Ltd.
18,575
43
เอส.เอส.บี สยาม จำกัด
18,548
44
ดีไซน์ โธร แมนูแฟคเจอริ่ง
18,490
45
ศรีทองเนมเพลท จำกัด
18,385
46
Intelligent Mechantronics System (Thailand)
18,362
47
Systems integrator
17,932
48
เอ็นเทค แอสโซซิเอท จำกัด
17,900
49
Advanced Technology Equipment
17,724
50
ดาต้า เอ็นทรี่ กรุ๊ป จำกัด
17,685
»
Article
»
Electrical Power
»
คุณภาพไฟฟ้า (Power Quality)
18/10/2560 07:10 น. , อ่าน 21,634 ครั้ง
True RMS คืออะไร
โดย : Admin
มาทำความรู้จักค่าต่างๆ ของสัญญาณไฟฟ้า และค่า RMS กัน
กราฟสัญญาณ-เวลา
อธิบายแบบง่ายๆ
สัญญาณไฟฟ้าคือแรงดันหรือกระแสซึ่งเป็นพาหะของข้อมูลข่าวสาร ซึ่งปกติจะหมายถึงแรงดัน แต่อย่างไรก็ตามสามารถใช้ได้ทั้งแรงดันหรือกระแสในวงจร
กราฟแรงดัน-เวลา แสดงถึงคุณสมบัติต่างๆของสัญญาณไฟฟ้า
ความหมายของคำย่อที่แสดงในรูปด้านบน
• ขนาด(Amplitude) คือค่าแรงดันสูงสุดของสัญญาณมีหน่วยเป็นโวลท์ (V)
• แรงดันยอด(Peak voltage) คืออีกชื่อหนึ่งของขนาด(amplitude)
• แรงดันยอดถึงยอด(Peak-peak voltage) คือสองเท่าของแรงดันยอดหรือขนาด เมื่ออ่านค่ารูปคลื่นที่ออสซิลโลสโคปมักใช้หน่วยแรงดันยอดถึงยอด
• คาบเวลา(Time period) คือเวลาที่สัญญาณครบรอบหนึ่งรอบ มีหน่วยวัดเป็นวินาที(s) แต่คาบเวลาที่ใช้ส่วนใหญ่ดูเหมือนจะสั้นเป็นมิลลิวินาที(ms) และไมโครวินาที (µs) 1ms = 0.001s and 1µs = 0.000001s.
• ความถี่(Frequency) คือจำนวนรอบคลื่นต่อวินาที มีหน่วยวัดเป็นเฮิรตซ์ (Hz) แต่ความถี่ที่ใช้ส่วนใหญ่จะสูงเป็กิโลเฮิรตซ์ (kHz) และเมกะเฮิรตซ์ (MHz) 1kHz = 1000Hz and 1MHz = 1000000Hz.
ความถี่ของไฟฟ้าหลักในประเทศไทยคือ 50Hz, ดังนั้นจึงมีคาบเวลาเท่ากับ 1/50 = 0.02s = 20ms.
ค่ารูทมีนสแควร์ (RMS) หรือค่าที่ใช้งานจริง
ค่าของแรงดันกระแสสลับจะเปลี่ยนอย่างต่อเนื่อง จากศูนย์ไปถึงยอดทางบวก กลับลงมายังศูนย์และไปยังยอดลบ แล้วก็กลับขึ้นมายังศูนย์อีกครั้ง โดยเวลาส่วนมากจะน้อยกว่าแรงดันยอด ทำให้การวัดจากผลที่แท้จริงไม่ดี
จึงต้องใช้ค่าแรงดันรูทมีนสแควร์แทน (VRMS) ซึ่งคือ 0.707 ของแรงดันยอด (Vpeak): VRMS = 0.707 × Vpeak และ Vpeak = 1.414 × VRMS
ค่านี้เป็นจริงเฉพาะคลื่นรูปซายน์ (เป็นรูปคลื่นธรรมดาที่สุดของไฟฟ้ากระแสสลับ) คลื่นรูปร่างอื่นต้องใช้ค่าที่ต่างออกไปไม่ใช่ 0.707 และ1.414
ค่าอาร์เอ็มเอสเป็นค่าประสิทธิผลของแรงดันหรือกระแสที่เปลี่ยนแปลง สามารถเทียบเท่าได้กับค่าดีซี (DC) สม่ำเสมอหรือคงที่ ซึ่งให้ผลเหมือนกัน
- ตัวอย่าง เช่น ต่อหลอดกับไฟเอซี 6V RMS จะให้ความสว่างเท่ากันกับหลอดที่ต่อกับไฟดีซีสม่ำเสมอ 6V อย่างไรก็ตามแสงจะหรี่ลงหากต่อหลอดกับไฟเอซีแรงดันยอด 6V เพราะเมื่อคิดเป็นค่า RMS จะได้เท่ากับ 4.2V เท่านั้น( เทียบได้กับไฟดีซีสม่ำเสมอ 4.2V )
มันเป็นการช่วยให้ง่ายหากคิดว่าค่าอาร์เอ็มเอสเป็นค่าแบบเฉลี่ย แต่ก็ไม่ใช่ค่าเฉลี่ยที่แท้จริง! ความจริงค่าเฉลี่ยของแรงดัน (หรือกระแส) ของสัญญาณเอซีจะเท่ากับศูนย์ เพราะส่วนบวกกับส่วนลบ จะหักล้างกันหมด
- ค่าไฟเอซีที่วัดด้วยมิเตอร์เป็นค่าอาร์เอ็มเอสหรือค่าแรงดันยอด?
โวลท์มิเตอร์และแอมป์มิเตอร์เอซีแสดงค่าอาร์เอ็มเอส (RMS) มิเตอร์ดีซี (DC) ก็แสดงค่าอาร์เอ็มเอส (RMS) เช่นกันเมื่อต่อวัดไฟดีซีที่เปลี่ยนแปลงอย่างรวดเร็ว แต่ถ้าความถี่น้อยกว่า 10Hz เราจะเห็นมิเตอร์แกว่งไปมา
- คำว่า '6V AC' แท้จริงหมายถึง RMS หรือแรงดันยอด?
หากเป็นค่าแรงดันยอดต้องมีคำว่า"peak"กำกับชัดเจน ไม่เช่นนั้นเราต้องคิดว่าเป็นค่าอาร์เอ็มเอส (RMS)ไว้ก่อน ปัจจุบันแรงดันและกระแสเอซีใช้ค่าอาร์เอ็มเอสเสมอเพราะรู้สึกมีเหตุผลเมื่อต้อง เทียบกับกระแสหรือ แรงดันดีซีสม่ำเสมอจากแบตเตอรี่
- ตัวอย่างเช่น ไฟ '6V AC' หมายถึง 6V RMS และคิดเป็นแรงดันยอดเท่ากับ 8.5V ไฟหลักในประเทศไทยคือ 220V AC หมายถึง 220V RMS ดังนั้นแรงดันยอดของไฟหลักประมาณเท่ากับ 311V
- รูทมีนสแควร์(RMS)แท้จริงหมายถึงอะไร ?
ค่าอาร์เอ็มเอสคือค่าไฟกระแสสลับที่เทียบเท่าไฟกระแสตรง วิธีหาค่าอาร์เอ็มเอสจากคลื่นรูปซายน์ ใช้วิธีการทางคณิตศาสตร์ดังนี้
ตอนแรกให้ยกกำลังสองค่าทุกจุดทั้งด้านบวกและด้านลบของรูปซายน์ แล้วเฉลี่ยค่าที่ยกกำลังสองทั้งหมด และหาค่ารากที่สองของค่าเฉลี่ยนี้ นั่นคือค่าอาร์เอ็มเอส (RMS) สับสนไหม?
ไม่ต้องไปสนใจคณิตศาสตร์หรอก (มันดูซับซ้อนเกินความเป็นจริง) เพียงยอมรับว่าค่าอาร์เอ็มเอส (RMS) ของแรงดันและกระแส คือค่าที่ใช้งานจริง และเป็นค่าที่นำมาใช้งาน ก็พอแล้ว
ต่อไปนี้เป็นคำอธิบายกรณีท่านที่ผ่านการเรียนแคลคูลัสหรือคณิตศาสตร์ชั้นสูง
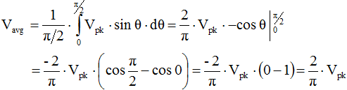
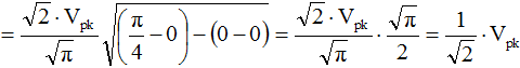
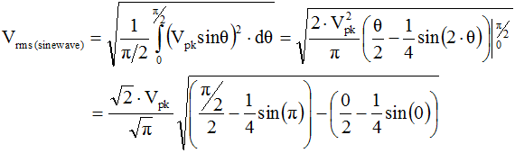
เป็นที่รู้กันว่าไฟฟ้ากระแสสลับนั้น จะมีค่าเปลี่ยนแปลงไปกับช่วงเวลา การที่จะระบุปริมาณของแรงดันหรือกระแสนั้นจึงค่อนข้างลำบาก จึงมีการตั้งค่า RMS หรือ Root Mean Square หรือค่าเฉลี่ยกำลังสอง ซึ่งเป็นปริมาณเสมือนกับไฟฟ้ากระแสตรง สมการ RMS มีดังต่อไปนี้
เมื่อกล่าวถึง RMS แล้ว ก็ต้องกล่าวนึงค่าเฉลี่ย (Averange) ซึ่งเป็นฝาแฝดกัน โดยมีสมการต่อไปนี้
จากสมการทั้งสองสมการจะได้
จากสมการข้างต้นทั้ง ค่าเฉลี่ย (Averange) และค่า RMS เมื่อนำมาเปรียบเทียบกันแล้ว จะเห็นว่าทั้ง 2 ค่าแตกต่างกัน ค่า RMS จะมีค่ามากกว่าค่า average เล็กน้อย
และเมื่อใดก็ตาม ที่กราฟไม่เป็น Sine wave ค่า RMS และค่า Averange จะยิ่งแตกต่างกันมากขึ้นดังแสดงในตารางต่อไปนี้
ดังเมื่อเราเลือกใช้งานเครื่องมือวัดค่าทางไฟฟ้า ไม่ว่าจะเป็น
Clamp meter
,
Multimeter
,
Insulation tester
หากต้องการวัดค่าที่มีความแม่นยำในการวัดที่หลากหลาย ควรเลือกเครื่องมือที่ใช้ระบบการแสดงผลเป็นค่า RMS
แต่ถ้าต้องการวัดเพียงลูกคลื่น Sine wave อาจใช้งานเครื่องมือทั่วไปที่แสดงผลด้วยค่า averange เพื่อประหยัดงบ ก็ได้เช่นกัน
========================================================
TBAT คืออะไร ?
Congratulations
สอบ ACT
Happy Birthday
สอบ IELTS มีกี่แบบ?
================= ยูทุปของ 9engineer ,com ===================
คลิปที่น่าสนใจจัดทำโดย 9engineer.com ภายใต้ชื่อช่องTechnology talk Channel
1. วงจรและวิธีการสตาร์ทแบบไดเร็คออนไลน์ DOL
2. วงจรควรคุมการกลับทางหมุน
3. วงจรและวิธีการสตาร์ทแบบสตาร์ เดลต้า Y-D Starter
4. การสตาร์แบบออโตทรานส์ฟอร์เมอร์ Auto transformer starter
5. การต่อขดลวดมอเตอร์ อย่างไรไม่ให้เกิดการใหม้หรือเสียหาย
6. การเช็ตโอเวอร์โหลดรีเลย์
7.การเช็ตโอเวอร์โหลดรีเลย์กับมอเตอร์ที่มีเซอร์วิสแฟคเตอร์
8.รีเลย์กับคนแทคเตอร์ต่างกันอย่างไร
9.อื่นๆ
**** นายเอ็นจิเนียร์ขอสงวนสิทธิ์รับรองความถูกต้อง โปรดใช้วิจารณญาณในการรับข่าวสารข้อมูล
ความคิดเห็น
14 December 2025
:: MEMBER LOGIN
E-mail Account
Password
ลงทะเบียนใหม่
|
ลืมรหัสผ่าน?
:: OUR SPONSORS