Top 50 Popular Supplier
1 100,000D_อินเวอร์เตอร์ 178,015
2 100,000D_มิเตอร์วัดไฟฟ้า 175,150
3 100,000D_อุปกรณ์ไฟฟ้าและอิเลคทรอนิกส์ 174,492
4 100,000D_เครื่องมือช่าง 174,379
5 100,000D_เอซีมอเตอร์ 171,776
6 100,000D_ดีซีมอเตอร์ 170,888
7 100,000D_อุปกรณ์แคมป์ปิ้ง 169,785
8 100,000D_เครื่องดื่มและสมุนไพร 169,186
9 เคอีบี (KEB ) ประเทศไทย 162,891
10 100,000D_เครื่องใช้ไฟฟ้าครัวเรือน 159,628
11 100,000D_ของใช้จำเป็นสำหรับผู้หญิง 159,565
12 100,000D_ขายของเล่นเด็ก 158,767
13 E&L INTERNATIONAL CO., LTD. 69,310
14 T.N. METAL WORKS Co., Ltd. 64,036
15 ฟิลิปส์อิเล็กทรอนิกส์ (ประเทศไทย) จำกัด 52,118
16 บ.ไทนามิคส์ จำกัด 44,838
17 Industrial Provision co., ltd 40,953
18 ลาดกระบัง ทูลส์ แอนด์ ดาย จำกัด 39,642
19 Infinity Engineering System Co.,Ltd 37,578
20 สยาม เอลมาเทค (siam elmatech) 35,873
21 ไทยเทคนิค อีเล็คตริค จำกัด 34,757
22 ฟอร์จูน เมคคานิค แอนด์ ซัพพลาย 33,083
23 เอเชียเทค พาวเวอร์คอนโทรล จำกัด 32,536
24 บริษัท เวิลด์ ไฮดรอลิคส์ จำกัด 32,362
25 โปรไดร์ฟ ซิสเต็ม จำกัด 28,749
26 ซี.เค.แอล.โพลีเทค เอ็นจิเนียริ่ง 27,758
27 P.D.S. Automation co.,ltd 24,156
28 AVERA CO., LTD. 23,845
29 เลิศบุศย์ 22,838
30 ห้างหุ้นส่วนสามัญ เอ-รีไซเคิล กรุ๊ป 21,621
31 เทคนิคอล พรีซิชั่น แมชชีนนิ่ง 21,535
32 Electronics Source Co.,Ltd. 21,278
33 แมชชีนเทค 21,103
34 มากิโน (ประเทศไทย) 20,408
35 อีดีเอ อินเตอร์เนชั่นเนล จำกัด 20,289
36 ทรอนิคส์เซิร์ฟ จำกัด 20,120
37 Pro-face South-East Asia Pacific Co., Ltd. 19,728
38 SAMWHA THAILAND 19,659
39 วอยก้า จำกัด 19,454
40 CHEMTEC AUTOMATION CO.,LTD. 18,863
41 IWASHITA INSTRUMENTS (THAILAND) LTD. 18,644
42 I-Mechanics Co.,Ltd. 18,575
43 เอส.เอส.บี สยาม จำกัด 18,548
44 ดีไซน์ โธร แมนูแฟคเจอริ่ง 18,490
45 ศรีทองเนมเพลท จำกัด 18,385
46 Intelligent Mechantronics System (Thailand) 18,362
47 Systems integrator 17,932
48 เอ็นเทค แอสโซซิเอท จำกัด 17,900
49 Advanced Technology Equipment 17,724
50 ดาต้า เอ็นทรี่ กรุ๊ป จำกัด 17,685
08/09/2552 21:02 น. , อ่าน 8,299 ครั้ง
Bookmark and Share
Harmonics in Power System
โดย : Admin

 


ฮาร์มอนิกในระบบไฟฟ้า
Harmonic in power system

 
sakchai@pea.or.th              

 
 ในปัจจุบันการไฟฟ้าหรือผู้ใช้ไฟฟ้าได้ให้ความสำคัญกับคุณภาพไฟฟ้ามากขึ้น  เนื่องจากในระบบไฟฟ้าโดยเฉพาะในกระบวนการผลิตของอุตสาหกรรมได้มีการใช้อุปกรณ์ที่มีเทคโนโลยีสูงกว่าเดิมในอดีต  ซึ่งคุณลักษณะการทำงานของอุปกรณ์ดังกล่าวจะไวต่อการเปลี่ยนแปลงต่อกระแสและแรงดัน  กล่าวคือถ้ามีขนาดและรูปร่างผิดเพี้ยนไปจากสภาพการจ่ายไฟปกติก็อาจจะทำให้อุปกรณ์มีการทำงานผิดพลาดหรือเกิดการชำรุดเสียหายขึ้นได้   ซึ่งเป็นปัญหาคุณภาพไฟฟ้าที่ต้องมีการป้องกันและแก้ไข  โดยสาเหตุหลักที่ทำให้กระแสและแรงดันในระบบไฟฟ้ามีขนาดและรูปร่างผิดเพี้ยนไปจากสภาพการจ่ายไฟปกติมีสาเหตุเกิดจากฮาร์มอนิกที่มีอยู่ในระบบไฟฟ้า ซึ่งเนื่องจากปัจจุบันโรงงานอุตสาหกรรมและอาคารพาณิชย์ได้มีการใช้อุปกรณ์สมัยใหม่เทคโนโลยีสูงที่ทำจากอุปกรณ์ทางด้านโซลิดสเตท  เพื่อเพิ่มประสิทธิภาพในการควบคุมกระบวนการผลิตให้มีคุณภาพและได้ปริมาณตามที่ต้องการและในอนาคตจะมีแนวโน้มการใช้มากขึ้นเรื่อยๆ โดยส่วนใหญ่เป็นอุปกรณ์ที่มีการทำงานแบบไม่เป็นเชิงเส้น  (Non-liner load)  ซึ่งเป็นแหล่งกำเนิดฮาร์มอนิก ตัวอย่างเช่นคอนเวอร์เตอร์ (Convertor) ตัวเรียงกระแสกำลัง ( Power Rectifier) และชุดขับเคลื่อนปรับความเร็ว(Adjustable-Speed Drive) เป็นต้นฯ
 

         ด้วยผลของการใช้อุปกรณ์ที่มีการทำงานแบบไม่เป็นเชิงเส้น  อุปกรณ์ดังกล่าวจะจ่ายกระแสฮาร์มอนิกเข้าสู่ระบบไฟฟ้าภายในของผู้ใช้ไฟเอง หรือถ้าเป็นอุปกรณ์ที่มีพิกัดขนาดใหญ่   กระแสฮาร์มอนิกนั้นอาจไหลเข้าสู่ระบบไฟฟ้าอื่นในบริเวณข้างเคียง  จากผลกระทบของฮาร์มอนิกส์ทำให้กระแสและแรงดันในระบบมีขนาดและรูปร่างเพี้ยน ( Distortion) ไปจากสภาพการจ่ายไฟปกติ ซึ่งเป็นผลทำให้อุปกรณ์มีการทำงานผิดพลาดหรือเกิดการชำรุดเสียหายได้    และเพื่อเป็นการเตรียมพร้อมสำหรับการป้องกันและแก้ไขปัญหาดังกล่าวที่เกิดขึ้นในระบบไฟฟ้าในบ้านเรา    ในบทความนี้จะกล่าวถึงความเข้าใจเบื้องต้น และภาพโดยรวมทั่วไปของฮาร์มอนิก แหล่งกำเนิดฮาร์มอนิก และผลกระทบที่เกิดจากปัญหาฮาร์มอนิก     เพื่อเป็นความเข้าใจเบื้องต้นก่อนที่จะศึกษาและทำการวิเคราะห์แก้ไขปัญหาฮาร์มอนิกขั้นต่อไปซึ่งเป็นส่วนหนึ่งที่จะช่วยทำให้ระบบไฟฟ้าในบ้านเรา มีคุณภาพยิ่งขึ้น 

              
       คำนิยามฮาร์มอนิก
           ฮาร์มอนิก ( Harmonic ) คือส่วนประกอบในรูปสัญญาณคลื่นไซน์ (Sine wave) ของสัญญาณหรือปริมาณเป็นคาบใดๆซึ่งมีความถี่เป็นจำนวนเต็มเท่าของความถี่หลักมูล     ( Fundamental Frequency ในระบบไฟฟ้า เรามีค่าเท่ากับ 50 Hz)เช่นฮาร์มอนิกลำดับที่ 3 มีค่าความถี่เป็น 150Hz และฮาร์มอนิกลำดับที่ 5 มีค่าความถี่เป็น 250Hz ฯ แสดงดังรูปที่1

 




รูปที่1 ฮาร์มอนิกที่ลำดับต่างๆ
                   
      และผลของฮาร์มอนิกเมื่อรวมกันกับสัญญาณความถี่หลักมูลด้วยทางขนาด (Amplitude) และมุมเฟส (Phase Angle) ทำให้สัญญาณที่เกิดขึ้นมีขนาดเปลี่ยนไปและมีรูปสัญญาณเพี้ยนไปจากสัญญาณคลื่นไซน์ดังรูปที่ 2



รูปที่ 2 แสดงถึงฮาร์มอนิกส์ลำดับที่ 3,5 และ 7 ที่มุมต่างๆ ทำให้สัญญาณไซด์มีรูปร่างผิดเพี้ยน

                
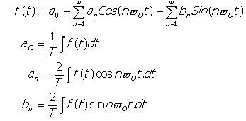
ในทางคณิตศาสตร์สามารถใช้อนุกรมฟูเรียร์อธิบายคุณลักษณะของฮาร์มอนิกส์ได้ โดยสัญญาณหรือฟังก์ชัน ที่เป็นคาบใดๆสามารถกระจายให้อยู่ในรูปผลรวมของฟังก์ชันตรีโกณมิติที่ความถี่ต่างๆเป็นฟังก์ชันคาบที่เขียนแทนด้วย f (t ) ดังสมการ

 

                    เมื่อ T คือ 1 คาบของสัญญาณและ n คือเลขจำนวนเต็มบวก
                            n คือจำนวนเต็มบวก

        ในกรณีที่ n = 0    จะเป็นความถี่มูลฐาน ( Fundamental Frequency ) หรือกรณีที่ n มีค่ามากกว่าศูนย์เราเรียกความถี่  นี้ว่าฮาร์มอนิกส์ลำดับที่ n ซึ่งเป็นได้ทั้งลำดับคู่และคี่ และจากรูปที่ 3.1 ข.และรูป. 3.2ข. แสดงถึงความเพี้ยนของสัญญาณที่เกิดขึ้นเกิดจากการรวมสัญญาณคลื่นไซน์ที่ความถี่หลักมูลกับคลื่นไซน์ที่เป็นฮาร์มอนิกลำดับที่ 3 ดังรูปที่ 3.1ก. และรูป3.2ก. ตามลำดับ


       ค่าความเพี้ยนฮาร์มอนิกรวม
            มาตรฐาน IEC   และ IEEE ใช้ค่าความเพี้ยนฮาร์มอนิกส์ : %THD (Total Harmonic Distrotion )   เป็นค่าบอกระดับความเพี้ยนฮาร์มอนิก   โดยเทียบจากอัตราส่วนระหว่างค่ารากที่สองของผลบวกกำลังสองของส่วนประกอบฮาร์มอนิกกับค่าของส่วนประกอบความถี่หลักมูลเทียบเป็นร้อยละ ซึ่งจะแยกออกเป็น ค่าความเพี้ยนกระแสฮาร์มอนิกรวม และค่าความเพี้ยนแรงดันฮาร์มอนิกรวม
 


                                 Vh (rms) : ค่า rmsของแรงดันฮาร์มอนิกลำดับที่ h
                                 Ih (rms) : ค่า rmsของกระแสฮาร์มอนิกลำดับที่ h
                                 V1 (rms) : ค่า rmsของแรงดันที่ความถี่หลักมูล
                                 I1 (rms) : ค่า rmsของกระแสที่ความถี่หลักมูล 
 
                                 
      ความสัมพันธ์ของ %THDI % THDV และ MVASC
            ในบางครั้งค่าของ %THDI ที่มีค่าสูงๆในระบบไฟฟ้า ระบบไฟฟ้านั้นอาจจะไม่เกิดผลกระทบจากปัญหาฮาร์มอนิกส์ได้เพราะค่า %THDI จะเป็นเพียงค่าที่บอกถึงคุณลักษณะของกระแสฮาร์มอนิกส์ของโหลดที่ไม่เป็นเชิงเส้นแต่ละชนิด ( ดูจากสูตรดังข้างต้นและตารางที่ 1ประกอบ) แต่ไม่สามารถที่จะบอกถึงความรุนแรงของระดับฮาร์มอนิกส์ได้อย่างสมบูรณ์ ดังในกรณีขนาดพิกัดกำลังของโหลดที่ไม่เป็นเชิงเส้นชนิดหนึ่งตัวเดียวกัน ที่ค่าพิกัดกำลังมากหรือน้อย ค่า %THDIของโหลดดังกล่าวก็จะเป็นค่าเดียวกัน แต่ระดับความรุนแรงที่ทำให้เกิดปัญหาฮาร์มอนิกส์จะไม่เท่ากัน   ดังนั้นถ้าเราจะพิจารณาค่าของ %THDI ควรจะพิจารณาถึงพิกัดกำลังของโหลดที่ไม่เป็นเชิงเส้นประกอบกันด้วย ซึ่งค่าความเพี้ยนกระแสฮาร์มอนิกจะมีค่าเป็นแอมป์ THDI เราสามารถที่จะพิจารณาถึงระดับความรุนแรงของปัญหาฮาร์มอนิกส์ในระดับหนึ่งได้ ส่วนค่า % THDV   นั้นสามารถที่บอกถึงระดับความรุนแรงของปัญหาฮาร์มอนิกส์ในระบบได้ซึ่งจะต่างจากค่า %THDI    โดยจะอธิบายถึงความสัมพันธ์ระหว่างกระแสแรงดันฮาร์มอนิกส์ และค่าพิกัดลังวงจรของระบบ (MVASC) ดังรูปที่ 4
 


รูปที่ 4 ความสัมพันธ์ของกระแส แรงดัน และค่าอิมพิแดนซ์ฮาร์มอนิก

                  จากรูปที่ 4 ที่แหล่งกำเนิดแรงดันไฟฟ้า จะมีค่าอิมพิแดนซ์ค่าหนึ่งซึ่งขึ้นอยู่กับค่าความถี่ของผู้ใช้ไฟ (50 Hz) เมื่อโหลดที่ไม่เป็นเชิงเส้นทำงานจะจ่ายกระแสฮาร์มอนิกส์ที่ลำดับต่างๆ (Ih) เข้าสู่ระบบ และผ่านค่าอิมพิแดนซ์ของระบบที่ความถี่ต่าง ( Zh )ของระบบทำให้เกิดแรงดันฮาร์มอนิกส์ที่ลำดับต่างๆ (Vh) ทำให้สัญญาณแรงดันในระบบมีขนาดและสัญญาณผิดเพี้ยนไปจากแหล่งจ่ายเดิม ตามสมการ Vh = Ih x Zh และจากสมการทำให้เราสามารถพิจารณาได้ว่าค่าความเพี้ยน แรงดันฮาร์มอนิก ที่เกิดในระบบหนึ่งนั้น(ไม่คำนึงถึงสภาวะปัญหาฮาร์มอนิกส์รีโซแนนซ์) จะขึ้นอยู่กับชนิดและพิกัด กำลังของโหลดที่ไม่เป็นเชิงเส้น (Ih) และค่าพิกัดกำลังลัดวงจรของระบบไฟฟ้า (Zh) นั่นคือ  กรณีสถานที่ตั้งของโหลดที่ไม่เป็นเชิงเส้นอยู่ใกล้สถานีไฟฟ้าฯ  ซึ่งมีค่าพิกัดลัดวงจรสูงจะมีค่าอิมพิแดนซ์ของระบบต่ำ แต่ถ้าอยู่ไกลสถานีไฟฟ้าฯ ค่าพิกัดลัดวงจรสูงจะมีค่าอิมพิแดนซ์ของระบบสูง ซึ่งทำให้พิจาณาได้ว่าโรงงานที่มีโหลดไม่เป็นเชิงเส้นที่อยู่ใก้ลสถานีไฟฟ้าฯ จะได้รับผลกระทบจากปัญหาฮาร์มอนิกส์น้อยกว่า โรงงานที่อยู่ไกล สถานีไฟฟ้าฯ ในกรณีที่ระบบภายในโรงงานเหมือนกันดังรูปที่ 5 
 




รูปที่ 5 แสดงการเปรียบเทียบค่า % THDVของแต่ระบบและสถานที่ตั้ง

          จุดต่อร่วม (Point of Common Coupling , PCC) 
          คือจุดซื้อขายไฟระหว่างการไฟฟ้ากับผู้ใช้ไฟ หรือตำแหน่งที่ทำการตรวจวัดฮาร์มอนิก 
 

                  แหล่งกำเนิดฮาร์มอนิก
                                 จากที่กล่าวมาโดยภาวะปกติ    การไฟฟ้าจะจ่ายแรงดันไฟฟ้าที่เป็นรูปสัญญาณคลื่นไซน์ให้กับโหลด
                    ประเภทต่างๆของผู้ใช้ไฟ   แต่ในกรณีในระบบไฟฟ้าที่ผู้ใช้ไฟบางรายมีโหลดประเภทไม่เป็นเชิงเส้น
                    ( Nonlinear Load )    ซึ่งโหลดดังกล่าวเป็นแหล่งกำเนิดฮาร์มอนิก     กระแสฮาร์มอนิกนั้นจะไหลเข้าสู่ระบบ
                    ของผู้ใช้ไฟเองและระบบไฟฟ้าข้างเคียง ผลของกระแสฮาร์มอนิกจะทำให้เกิดแรงดันในระบบไฟฟ้าเพี้ยนไป
                    จากรูปคลื่นไซน์ ค่าความเพี้ยนของแรงดันจะมากหรือน้อยนั้น     ขึ้นอยู่กับค่าอิมพิแดนซ์ของระบบและขนาด
                    ของกระแสฮาร์มอนิกที่ความถี่ต่างๆ      ด้วยผลของกระแสฮาร์มอนิกดังกล่าวไหลเข้าสู่ระบบใกล้เคียง อาจไป
                    รบกวนการทำงานหรือสร้างความเสียหายแก่อุปกรณ์ของผู้ใช้ไฟรายอื่นๆและอุปกรณ์ในระบบของการไฟฟ้าได้
                    ดังนั้นเรามีความเป็นที่จะต้องทราบว่าโหลดที่อยู่ในอาคารหรือโรงงานอุตสาหกรรมเรานั้น  มีโหลดที่เป็นแหล่ง
                    จ่ายฮาร์มอนิกส์หรือไม่ และโหลดประเภทใดเป็นโหลดที่เป็นแหล่งจ่ายฮาร์มอนิกส์ เพื่อที่ทำความใจก่อนที่จะ
                    ทำการแก้ไขและป้องกันปัญหาที่อาจเกิดขึ้นจากฮาร์มอนิกส์ต่อไป เราสามารถแบ่งแหล่งกำเนิดฮาร์มอนิกตาม
                     คุณลักษณะการทำงานของอุปกรณ์ได้ดังต่อไปนี้
 

                   1. อุปกรณ์อิเลคทรอนิกส์ที่มีทั่วไปในบ้านพัก สำนักงาน ส่วนใหญ่เป็นชนิด 1เฟส

                   1.1 อุปกรณ์ที่มีการใช้แหล่งจ่ายกำลังแบบสวิทซ์ชิ่ง(SWITCHING MODE POWER SUPPLY : SMPS
                         เช่น เครื่องคอมพิวเตอร์ (Computer)
 


                     1.2 บาลาสต์อิเลคทรอนิกส์ ( Electronic Ballast)


                   2. อุปกรณ์อิเลคทรอนิกส์กำลัง เป็นอุปกรณ์ที่ใช้ในการผลิตในโรงงานอุตสาหกรรม

                      2.1  ตัวเรียงกระแสกำลัง (Power Rectifier)
                      2.2  เครื่องแปลงผันกำลังแบบสถิต (Static Power Converter :SPC)
                      2.3  ตัวโปรแกรมเมเบิ้ลลอจิกคอนโทรลเลอร์ (Programmable Logic Controller :PLC)
                      2.4  ชุดขับเคลื่อนปรับความเร็วได้ (Adjustable Speed Drive :ASD)
 


                   3.อุปกรณ์ที่มีการทำงานประเภทอาร์ค

                 3.1  เตาหลอมแบบอาร์ค (Arc Furnace)
                 3.2  เตาหลอมแบบเหนี่ยวนำ (Induction Furnace) 
                 3.3  เครื่องเชื่อมแบบอาร์ค/แบบสปอต (Arc Welding / Spot Welding)



                4. อุปกรณ์ที่มีความสัมพันธ์ไม่เป็นเชิงเส้นของแรงดันและกระแสเนื่องจากการอิ่มตัวของแกนเหล็กทางแม่เหล็กไฟฟ้า เช่น หม้อแปลงไฟฟ้า (Transformer)และเครื่องกลไฟฟ้า (Electric Machine )


               ผลกระทบของฮาร์มอนิกที่มีผลต่ออุปกรณ์ในระบบไฟฟ้า
                    ปัญหาฮาร์มอนิกที่ทำให้เกิดผลกระทบต่ออุปกรณ์ในระบบไฟฟ้าออกเป็น 2 กรณีคือ

                -  ทำให้อุปกรณ์ในระบบมีการทำงานผิดพลาดด้วยผลของค่าแรงดันและกระแสฮาร์มอนิกที่มีขนาดและรูปคลื่น
                   สัญญาณไซน์ผิดเพี้ยนไป

                -  ทำให้อุปกรณ์ในระบบมีอายุการใช้งานน้อยลงหรือเกิดการชำรุดเสียหาย เนื่องจากมีค่า rms ของแรงดันหรือ
                   กระแส สูงขึ้นที่เกิดจากค่าฮาร์มอนิก หรือมีการขยายของแรงดันและกระแสฮาร์มอนิก   ที่เกิดจากฮาร์มอนิกรีโซแนนซ์

  ปัญหาฮาร์มอนิกที่ส่งผลกระทบต่ออุปกรณ์ในระบบไฟฟ้าดังนี้คือ

 1. ผลของฮาร์มอนิกเรโซแนนซ์เกิดขึ้นในกรณีที่ความถี่เรโซแนนซ์ของระบบไปตรงกับความถี่ฮาร์มอนิกทำให้เกิดการขยายขนาดของแรงดันและกระแสฮาร์มอนิก เป็นผลทำให้อุปกรณ์ได้รับความเสียหายเนื่องจากได้รับกระแสและแรงดันเกินพิกัด 

 2 . ผลของกระแสฮาร์มอนิกที่ไหลอยู่ในระบบจำหน่ายและสายส่ง ทำให้เกิดค่ากำลังสูญเสียในสายมากขึ้น ทำให้ ประสิทธิภาพ การส่งจ่ายลดลง เนื่องจากกระแสฮาร์มอนิกทำให้ค่า rms ของกระแสและความต้านทานของสายสูงขึ้น

3. ผลของกระแสฮาร์มอนิก Triplen ( ลำดับที่3,6,9..) จัดอยู่ในกลุ่มที่มีลำดับเป็นศูนย์ ( Zero Sequence) ในระบบ 3 เฟส 4 สาย ฮาร์มอนิกกลุ่มนี้จะรวมกันกันไหลอยู่ในสายนิวตรอล อาจทำให้สายนิวตรอนหรือหม้อแปลงเสียหายได้หากไม่มีการออกแแบบรองรับไว้ 
4. ผลของกระแสฮาร์มอนิกทำให้กำลังสูญเสียขณะมีโหลดและกำลังสูญเสียสเตรย์ฟลักซ์ (Stray Flux Loss) ของหม้อแปลงมีค่าเพิ่มขึ้น และทำให้ประสิทธิภาพการในรับโหลดของหม้อแปลงลดลงไป(derating) ผลของแรงดันฮาร์มอนิกทำให้เกิดกำลังสูญเสียกระแสไหลวน (Eddy Current Loss) และกำลังสูญเสียฮิสเทอรีซีส (Hysteresis -Loss) เพิ่มขึ้น 

5. ผลของกระแสฮาร์มอนิกทำให้เกิดความร้อนและความเครียดไดอิเลคตริก    ( Dielectric Stress )    กับตัวคาปาซิเตอร์  และอาจทำให้ฟิวส์ของตัวคาปาซิเตอร์ขาดง่ายกว่าการใช้งานปกติ ผลของแรงดันฮาร์มอนิกทำให้เกิดค่ากำลังสูญเสียในคาปาซิเตอร์    และผลจากภาวะเรโซแนนซ์ที่ตัวคาปาซิเตอร์ทำให้เกิดขยายกระแสและแรงดันฮาร์มอนิกขนาดใหญ่ ดังนั้นเพื่อความปลอดภัยในการใช้งานของคาปาซิเตอร์สามารถทนต่อค่ากระแสและแรงดันฮาร์มอนิก  คาปาซิเตอร์ที่ออกแบบสร้างจากผู้ผลิตได้กำหนดตามมาตรฐาน มาตรฐาน IEEE Std. 18-1992 

 6. ผลของกระแสฮาร์มอนิกทำให้เกิดความร้อนในตัวฟิวส์เพิ่มขึ้น ทำให้ลักษณะเวลา-กระแส (Time-Current Characteristic) ของฟิวส์เปลี่ยนไป  กรณีที่มีฟอลต์ระดับต่ำเกิดขึ้นฟิวส์จะขาดก่อนในเวลาที่กำหนด   หรือในกรณีที่ฟิวส์ขาดโดยไม่ทราบสาเหตุจะเป็นเหตุมาจากฮาร์มอนิกในกรณีที่เกิดภาวะเรโซแนนซ์ได้เช่นกัน

7. ผลของฮาร์มอนิกทำให้การทำงานของรีเลย์ผิดพลาดซึ่งขึ้นอยู่กับคุณสมบัติการทำงานของชนิดรีเลย์ การทำงานของรีเลย์ชนิด Electromagnetic ขึ้นอยู่กับค่ากระแสและแรงดัน rms ส่วนการทำงานของรีเลย์ชนิด Digital  ขึ้นอยู่กับค่าแรงดันยอดคลื่น (Crest Voltage) จากการ Sampling และตรวจค่า Zero Crossing ค่ากระแสหรือแรงดันที่ศูนย์ โดยลักษณะที่ทำให้รีเลย์ทำงานผิดพลาดดังนี้

      -  ทำให้รีเลย์มีการทำงานช้าลง หรือทำงานด้วยค่า(Pickup Values) ที่สูงโดยปกติรีเลย์จะทำงานอย่างรวดเร็วและทำงานด้วยค่าเริ่มต่ำๆ 

      -  กรณีที่มีกระแสฮาร์มอนิกTriplenมากพออาจทำให้กราวด์รีเลย์ทำงานผิดพลาด (False Trip)

     -  ทำให้รีเลย์ระยะทาง(Distance Relay)ทำงานผิดพลาด ด้วยผลของกระแสฮาร์มอนิกที่ทำให้อิมพิแดนซ์เพิ่มขึ้นต่างจากค่าอิมพิแดนซ์ที่ทำการเซทติ้งที่ความถี่หลักมูล

      -  ทำให้รีเลย์สถิตแบบความถี่ต่ำ (Static Underfrequency Relay) มีความไวกว่าปกติ อาจทำให้เกิดการทริปผิดพลาด 

      -  ทำให้รีเลย์กระแสและแรงดันเกิน (Overcurrent and Overvoltage Relay) ทำงานผิดพลาดตามคุณสมบัติที่ตั้งไว้

      -  ทำให้ความเร็วในการทำงานของรีเลย์ชนิดผลต่าง (Differential Relay) ทำงานช้าลง

 8.  ผลของกระแสฮาร์มอนิกมีผลกระทบต่อความสามารถใน การตัดกระแส   ( Current Interruption Capacity )     ของอุปกรณ์สวิตซ์เกียร์ คือทำให้ขนาดของอัตราค่ากระแสเทียบกับเวลา di / dt มีค่าสูงในขณะที่กระแสมีค่าเป็นศูนย์     เป็นผลทำให้เซอร์กิตเบรคเกอร์ไม่สามารถตัดกระแสได้เมื่อมีฮาร์มอนิก ซึ่งปัญหานี้จะเกิดกับอุปกรณ์อื่นๆที่ใช้ตัดกระแสได้เช่นกัน

9.  ผลของฮาร์มอนิกทำให้มิเตอร์วัดค่าไฟฟ้า ( Watt - Hour Meter )   ซึ่งเป็นมิเตอร์ประเภทจานเหนี่ยวนำ ( Induction Disk) ทำการวัดค่าผิดพลาดได้ ซึ่งโดยปกติการปรับแต่งมิเตอร์นั้นจะทำการปรับแต่งที่ความถี่หลักมูล 

 10 .ผลของฮาร์มอนิกต่อเครื่องจักรไฟฟ้า    ทำให้กำลังสูญเสียเพิ่มขึ้น      เป็นผลทำให้เครื่องจักรร้อนกว่าปกติ ทำให้มอเตอร์ เหนี่ยวนำ สามเฟสเกิดปรากฎการณ์ค็อกกิ้ง(Cogging)คือไม่สามารถสตาร์ทมอเตอร์ได้ จากการที่ความเร็วมอเตอร์ต่ำกว่าความเร็วซิงโครนัส และทำให้เกิดการออสซิเลตทางกลของเครื่องจักรไฟฟ้า ซึ่งมีผลต่อประสิทธิภาพและแรงบิดของเครื่องจักร

11. ผลของฮาร์มอนิกทำให้เกิดสัญญาณรบกวน(Noise)ในระบบสื่อสารเช่นในระบบโทรศัพท์ 

 
           สรุป 
                  ฮาร์มอนิกที่อยู่ในระบบไฟฟ้าเป็นปัญหาคุณภาพไฟฟ้าสำคัญเรื่องหนึ่ง เพราะปัจจุบันการใช้โหลดประเภทที่ไม่เป็นเชิงเส้นที่เป็นแหล่งจ่ายฮาร์มอนิก และโรงงานอุตสาหกรรมและในอาคารพาณิชย์นับวันมีการใช้โหลดดังกล่าวเพิ่มมากขึ้น  ผลทำให้รูปคลื่นของแรงดันและกระแสเพี้ยนไปจากรูปไซด์ ซึ่งจะส่งผลกระทบให้อุปกรณ์มีการทำงานผิดพลาด หรืออาจเกิดการเสียหายได้ซึ่งในบทความนี้จะกล่าวถึงผลกระทบจากฮาร์มอนิกเพียงเบื้องต้น    และจะนำเสนอในเชิงการวิเคราะห์และวิธีการแนวทางการแก้ไขต่อไปในครั้งหน้า
 
               เอกสารอ้างอิง
 
             1. Effects of Harmonic on Equipment "IEEE Transaction on Power Delivery, Vol.8, No.2, April 1993"
             2. P519A/D5Guide for Applying Harmonic Limits on Power System
             3. IEC 1000-3-6 Assessment of emission limit for distoring loads in MV and HV power system
                 Basic EMC publication
             4. IEEE Std. 18-1992 IEEE Standard for Shunt Power Capacitors
             5. IEEE Std. C57.110-1986 Recommended practice for establishing transformer capability when supplying
                 Non



 ขอขอบคุณแหล่งที่มาของบทความและผู้ที่ได้ร่วมเผยแพร่และมอบบทความนี้แก่นายเอ็นจิเนียร์



========================================================

 

 

 

14 December 2025
:: MEMBER LOGIN
E-mail Account
Password
:: OUR SPONSORS
LZD
LZD
LZD
LZD
LZD
LZD
LZD
LZD
LZD
LZD