Top 50 Popular Supplier
1 100,000D_อินเวอร์เตอร์ 178,015
2 100,000D_มิเตอร์วัดไฟฟ้า 175,150
3 100,000D_อุปกรณ์ไฟฟ้าและอิเลคทรอนิกส์ 174,492
4 100,000D_เครื่องมือช่าง 174,379
5 100,000D_เอซีมอเตอร์ 171,776
6 100,000D_ดีซีมอเตอร์ 170,888
7 100,000D_อุปกรณ์แคมป์ปิ้ง 169,785
8 100,000D_เครื่องดื่มและสมุนไพร 169,186
9 เคอีบี (KEB ) ประเทศไทย 162,891
10 100,000D_เครื่องใช้ไฟฟ้าครัวเรือน 159,628
11 100,000D_ของใช้จำเป็นสำหรับผู้หญิง 159,565
12 100,000D_ขายของเล่นเด็ก 158,767
13 E&L INTERNATIONAL CO., LTD. 69,310
14 T.N. METAL WORKS Co., Ltd. 64,036
15 ฟิลิปส์อิเล็กทรอนิกส์ (ประเทศไทย) จำกัด 52,118
16 บ.ไทนามิคส์ จำกัด 44,838
17 Industrial Provision co., ltd 40,953
18 ลาดกระบัง ทูลส์ แอนด์ ดาย จำกัด 39,642
19 Infinity Engineering System Co.,Ltd 37,578
20 สยาม เอลมาเทค (siam elmatech) 35,873
21 ไทยเทคนิค อีเล็คตริค จำกัด 34,757
22 ฟอร์จูน เมคคานิค แอนด์ ซัพพลาย 33,083
23 เอเชียเทค พาวเวอร์คอนโทรล จำกัด 32,536
24 บริษัท เวิลด์ ไฮดรอลิคส์ จำกัด 32,362
25 โปรไดร์ฟ ซิสเต็ม จำกัด 28,749
26 ซี.เค.แอล.โพลีเทค เอ็นจิเนียริ่ง 27,758
27 P.D.S. Automation co.,ltd 24,156
28 AVERA CO., LTD. 23,845
29 เลิศบุศย์ 22,838
30 ห้างหุ้นส่วนสามัญ เอ-รีไซเคิล กรุ๊ป 21,621
31 เทคนิคอล พรีซิชั่น แมชชีนนิ่ง 21,535
32 Electronics Source Co.,Ltd. 21,278
33 แมชชีนเทค 21,103
34 มากิโน (ประเทศไทย) 20,408
35 อีดีเอ อินเตอร์เนชั่นเนล จำกัด 20,289
36 ทรอนิคส์เซิร์ฟ จำกัด 20,120
37 Pro-face South-East Asia Pacific Co., Ltd. 19,728
38 SAMWHA THAILAND 19,659
39 วอยก้า จำกัด 19,454
40 CHEMTEC AUTOMATION CO.,LTD. 18,863
41 IWASHITA INSTRUMENTS (THAILAND) LTD. 18,644
42 I-Mechanics Co.,Ltd. 18,575
43 เอส.เอส.บี สยาม จำกัด 18,548
44 ดีไซน์ โธร แมนูแฟคเจอริ่ง 18,490
45 ศรีทองเนมเพลท จำกัด 18,385
46 Intelligent Mechantronics System (Thailand) 18,362
47 Systems integrator 17,932
48 เอ็นเทค แอสโซซิเอท จำกัด 17,900
49 Advanced Technology Equipment 17,724
50 ดาต้า เอ็นทรี่ กรุ๊ป จำกัด 17,685
17/01/2553 15:06 น. , อ่าน 9,300 ครั้ง
Bookmark and Share
How to determine the number of step/outputs for LV Capacitor Bank
โดย : Admin

How to determine the number of step/outputs for LV Capacitor Bank

        
                     การออกแบบการชดเชย Reactive Power ให้กับโหลด บางครั้งมีขนาดไม่เหมาะที่จะทำเป็น Step เดียว
                 ต้องแบ่งเป็นหลายๆ Step เพื่อความเหมาะสมทั้งทางด้านอุปกรณ์ที่จัดหาได้ง่าย  ไม่กระทบกับระบบแรงดัน
                 จรเกินไป (Over Voltage) และกระแส Switching ที่ผลต่ออายุการใช้งานของอุปกรณ์ต่างๆ

                    อนึ่งเงื่อนไขการ Run Load ก็มีผลกล่าวคือ Load Pattern เป็นอย่างไรเพื่อให้การชดเชยทุกขณะเป็นไป
                 ตามที่ตั้งใจไว้ แต่โดยทั่วไปผู้ออกแบบจะได้ข้อมูลนี้ยากมาก เพราะผลการ Run Load       ขึ้นอยู่กับสวาวะ
                เศรษฐกิจ , Process ในขบวนการผลิตซึ่งอาจมีการเปลี่ยนแปลงตลอดเวลา       ดังนี้หัวข้อนี้จะไม่พิจารณา
                Load Pattern
                    
                     Reactive Capacitor Bank แบ่งเป็นใหญ่ๆ ได้ 2 ลักษณะคือ
                    1. Shunt Capacitor bank
                    2. Detune bank
                    
                ซึ่งเป็น Type ที่เหมาะจะแบ่งออกเป็นหลายๆ Step เพื่อทำเป็น Automation Switching ในหัวข้อนี้จะทำการ
               ศึกษาว่าการแบ่งเป็น Step ของคาปาซิเตอร์นั้นควรมีขนาดเท่าไรที่เหมาะสม

                พิจารณาจากขนาดของอุปกรณ์ที่จัดหาได้ง่าย
                พิจารณาจากอุปกรณ์ที่จัดหาได้ง่าย โดยหลักการแล้ว Step จำนวนน้อยเท่าไรก็ประหยัดมากขึ้น   อุปกรณ์ที่ 
               ประกอบใน Step จะมี Fuse , Contact , Capacitor Unit และ Reactor ในบางครั้ง ซึ่งมีขนาดตาม Catalogue
               ของผู้ผลิตซึ่งจะเห็นว่าที่แรงดัน 415 V ที่ใช้กันมากที่สุดอยู่ระหว่าง 21 - 110 KVAR ต่อ Step   ที่เหมาะสมถ้า
               แรงดันอื่นก็พิจารณาดูจาก Catalogue ได้

                พิจารณาผลกระทบกับระบบ
               การ
Switching Capacitor เข้ากับระบบปกติจะมีผลทำให้ แรงดันระบบ เพิ่มขึ้น โดยพิจารณาจากสูตร



 
                   
                   สมมุติว่ากำหนดให้แรงดันระบบเปลี่ยนแปลงไม่เกิน 3 % และทั่วไป % Short Circuit Power   ของ
                หม้อแปลงประมาณ 6 % ถ้าหม้อแปลงมีขนาดเท่ากับ Tx   และโหลดหม้อแปลงมีขนาดเท่ากับ 0.8 Tx

                โดยมี PF. เท่ากับ 0.7

                   Reactive Power ที่มากที่สุดที่ชดเชยให้กับโหลด หม้อแปลงตัวนี้ให้มี PF. เท่ากับ 0.98 คือ


                    พิจารณาว่า KVAR ที่จะทำให้แรงดันของหม้อแปลงตัวนี้เพิ่มขึ้นกี่เปอร์เซนต์คือ


                    ซึ่งจะเห็นว่า kVAr ที่หามาได้จะมีผลทำให้แรงดันระบบเปลี่ยนแปลงมากที่สุด = 2.76 % เท่านั้น จาก
                  ตัวอย่างที่ยกมา ดังนั้นขนาดของ kVAr ต่อ Step ที่มีขนาดมากที่สุดคือ ออกแบบให้เป็นหนึ่ง Step ตาม
                  ที่ออกแบบ ส่วนมากไม่มีผลต่อแรงดันมากนัก ดังนั้นจึงกลับไปพิจารณาหัวข้ออุปกรณ์ที่จัดหาได้ง่าย

                   พิจารณา
จากกระแส Inrush Current ของ Step สุดท้าย
                     ปกติการ
Switching Capacitor เข้าระบบจะเกิดมีกระแส Inrush จำนวนมากไหลเข้า Cap Step  ซึ่ง
                   พิจารณาว่าไม่เกินค่ามาตรฐานที่กำหนดไว้คือ 100 เท่า ของกระแส Rated ของ
Cap Step

                             ปกติปรากฏการณ์นี้จะมีผลน้อยคือมีค่ากระแส Inrush น้อยถ้ามีเพียง Steo เดียว เพราะ Impedance
                   ของระบบจะช่วยต้านไว้ แต่ถ้า Cap Step มีหลาย Step จะเกิดปรากฏการณ์ Back To Back
Inrush Current
                   ขึ้น และโดยมีผลให้
Step ที่จะนำเข้าระบบหลังสุดต้องรับกระแส Inrush นี้ขึ้นสูงมากโดยพิจารณาดังนี้
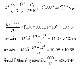
                        ที่ Step n จะรับกระแส Inrush สูงมากถ้ามี Cap ต่ออยู่ก่อนหน้าโดยพิจารณาจากสูตร



                           ค่า Lo นี้ปกติจะประมาณไว้ที่ 1 uH ต่อ 1 เมตร และประมาณ Lo ใน Contactor = 1 uH เพราะฉะนั้น
                        Lo รวม = 2 uH ถ้าให้ I มีค่า = 100 In จะได้


                           พิจารณาที่ 50 Hz ; 415 V
                         เรารู้ว่า Q ทั้งหมดที่คำนวณได้สมมุติ = 600 kVAr จะได้


                              แทนค่า Co ในสมการ (1) แล้วจัดรูปใหม่ได้

   เอกสารอ้างอิง
               วารสาร คุณภาพไฟฟ้า Vol 9/ January- March 2002 ; ABB LIMITED


             (ขอขอบคุณ ชาวสมาชิก 9engineer  คุณมาโนชน์ ที่กรุณาส่งข้อมูลมาเพื่อเป็นความรู้เผยแพร่)
 

========================================================

 

 

 

14 December 2025
:: MEMBER LOGIN
E-mail Account
Password
:: OUR SPONSORS
LZD
LZD
LZD
LZD
LZD
LZD
LZD
LZD
LZD
LZD