26/01/2556 21:42 น. ,
โดย : Admin ,
อ่าน 22,815 ครั้ง
การใช้งานของ Magnetic Contactors แต่ละประเภท
มาดูกันว่าแผ่นป้ายของแมกเนติก คอนแทคเตอร์ ที่ระบุไว้ว่า AC1, AC2, AC3 และ AC4 มันคืออะไรและควรเลือกใช้งานอย่างไร
ตามมาตรฐาน IEC คอนแทคเตอร์ที่ใช้กับโหลดไฟฟ้ากระแสสลับจะแยกเป็น category AC1, AC2, AC3 และ AC4 ดังนี้

AC1: เหมาะสำหรับใช้กับโหลดที่มีค่าเพาเวอร์แฟคเตอร์มากกว่า 0.95 หรือโหลดประเภทที่มีค่าเหนี่ยวนำ(inductive)น้อยมาก โหลดประเภทนี้กระแสช่วงสตาร์ทกับช่วงหยุดจะคงที่ ไม่มีกระแสพุ่งหรือ inrush current เช่นฮีตเตอร์ หรืออุปกรณ์ทำความร้อนที่ใช้ทั่วไปในอุตสาหกรรม

AC2: เหมาะสำหรับโหลดที่มีกระแสช่วงสตาร์ทประมาณ 2.5 เท่าของกระแสปกติ และช่วงเบรคหรือหยุดเครื่องกระแสยังมากกว่าช่วงปกติ 2.5 ตัวอย่างเช่นการใช้งานแบบเดินๆ หยุดๆบ่อย(Plugging) และการสตาร์ทมอเตอร์ Slip ring motor
AC3: ออกแบบสำหรับใช้งานกับโหลดที่มีกระแสไหลช่วงสตาร์ทประมาณ 5-7 เท่าของกระแสปกติ ส่วนช่วงเบรกหรือช่วงหยุดกระแสจะไหลผ่านเท่ากับกระแสปกติของโหลด เหมาะสำหรับใช้ควบคุมการสตาร์ทมอเตอร์อินดัคชั่น 3 เฟสทั่วไป
AC4: เหมาะสำหรับโหลดที่มีกระแสไหลช่วงสตาร์ท ประมาณ 5-7 ของกระแสปกติ และช่วงเบรก กระแสจะเท่ากับช่วงสตาร์ท เช่นวงจรควบคุมมอเตอร์มอเตอร์อินดัคชั่น 3 เฟส ที่มีการใช้งานแบบเดินๆ หยุดๆ บ่อยหรือวงจร (Plugging)

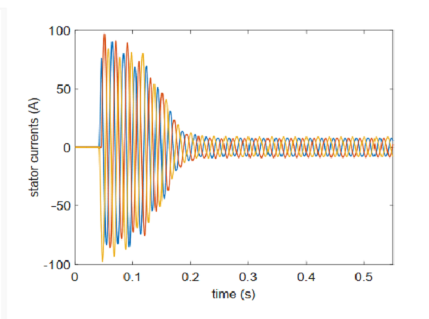
รูปแสดงกระแสขณะสตาร์ทของมอเตอร์เหนี่ยวนำ รูป A กรณีตัวอย่างของมอเตอร์เหนี่ยวนำมาตรฐานทั่วๆไปจะมีกระแสสูงประมาณ 6-6.5 เท่าของกระแสพิกัด ส่วนรูป B เป็นตัวอย่างของมอเตอร์เหนี่ยวนำแบบที่มีค่ากระแสพุ่งหรือ inrus้ current ที่ต่ำๆ

กระแสขณะสตาร์ทช่วงไดนามิคส์ ของมอเตอร์เหนี่ยวนำ (ช่วง 0-2 หรือ 3 วินาทีแรก กระแสจะค่อนข้างสูง)
IEC Standard :
The current rating of the contactor depends on utilization category. For example IEC categories are described as:
-
AC1 - Non-inductive or slightly inductive loads
-
-
AC3 - Starting of squirrel-cage motors and switching off only after the motor is up to speed. (Make Locked Rotor Amps (LRA), Break Full Load Amps (FLA))
-
AC4 - Starting of squirrel-cage motors with inching and plugging duty. Rapid Start/Stop. (Make and Break LRA)
-
AC11 - Auxiliary (control) circuits
NEMA Standard :
The contact rating of smaller NEMA contactors or their auxiliaries are defined by NEMA ICS 5: Industrial Control and Systems, Control Circuit and Pilot Devices standard.[8] The nomenclature is a letter followed by a three digit number, the letter designates the current rating of the contacts and the current type (i.e., AC or DC) and the number designates the maximum voltage design values.[9] Some examples are listed below:
นายเอ็นจิเนียร์ขอสงวนสิทธิ์รับรองความถูกต้อง โปรดใช้วิจารณญาณในการรับข่าวสารข้อมูล
ลิงค์ช่องยูทุปของ 9engineer.com => คลิก=> technology talk
ขอกำลังใจจากเพื่อนๆสมาชิกช่วยสนับสนุนด้วยการกดซับสไคร์ กดกระดิ่งติดตาม กดไลค์และกดแชร์ด้วยครับ
นายเอ็นจิเนียร์ขอสงวนสิทธิ์รับรองความถูกต้อง โปรดใช้วิจารณญาณในการรับข่าวสารข้อมูล